不同场地条件下埋地腐蚀钢管地震易损性评价

    Seismic vulnerability assessment of buried corroded steel pipes under different site conditions

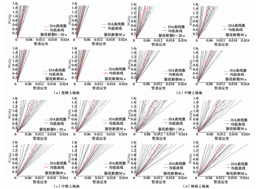
    • 摘要: 为评估不同场地中埋地腐蚀管道的抗震性能,建立管-土非线性相互作用分析模型,基于增量动力时程分析方法,以埋地钢管结构应变为性能参数,对不同场地中埋地腐蚀管道的地震易损性进行了分析。结果表明:同一场地条件和服役龄期下,随地震动强度的增大,管道处于基本完好状态的概率逐渐降低,处于严重破坏状态的概率逐渐增加;同一场地条件下,随管道服役龄期的延长,中等损坏极限的曲线斜率增长明显大于基本完好极限的曲线斜率,但管道失效的速率在逐渐变小,软弱场地中服役龄期50 a管道在抗震设防烈度8度时已发生中等损坏;同一地震动强度和服役龄期下,随场地等效剪切波速的减小,管道达到基本完好极限、中等损坏极限的失效概率逐渐增大,软弱场地中失效概率最大;同一服役龄期下,随场地等效剪切波速的减小,管道达到中等损坏、严重破坏的地震动峰值加速度明显降低,较低地震烈度下的软弱场地管道震害甚至高于较高地震烈度下的坚硬场地。本研究可为不同场地中埋地腐蚀管道的震害预测及灾后损失评估提供参考。

       

      Abstract: A nonlinear interaction analysis model for pipelines and soils is established to evaluate the anti-seismic performance of corroded steel pipes buried in different sites. Based on the incremental dynamic time-history analysis method, the seismic vulnerability of corroded steel pipes in different sites is analyzed by taking the structural strain of buried steel pipes as the performance parameter. The results show that under the same site condition and service age, the probability of pipelines in a basically intact state decreases gradually, while that in a seriously damaged state increases gradually with the increase of earthquake intensity. Under the same site condition, the slope of the curve of moderately damaged limit becomes significantly larger than that of the curve of basic ally intact limit, but the failure rate of pipelines decreases gradually with the increase of their service age. In the weak site, the pipelines with 50 years of service age are moderately damaged when the seismic fortification intensity is 8 degrees. Under the same earthquake intensity and service age, the failure probability of the pipelines that reaches the basically intact limit and moderately damaged limit gradually increases with the decrease of the site equivalent shear wave velocity. The failure probability is the highest in the weak field. Under the same service age, the peak acceleration of ground motion that the pipelines reach the moderate damage or severe damage decreases obviously with the decrease of the site equivalent shear wave velocity. The damage of pipelines in soft field at lower seismic intensity is even higher than that in hard field at higher seismic intensity. This study may provide reference for the earthquake damage prediction and post-disaster loss assessment of buried corroded pipelines in different sites.

       

    /

    返回文章
    返回