土工模型箱超重力场夹层空间温度传递特性研究

    Temperature transfer characteristics of clearance space in hypergravity field of geotechnical model box

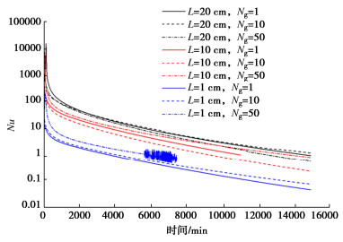
    • 摘要: 寒区工程超重力试验设计与土工模型箱空气夹层空腔温度传递相关。通过建立夹层-土体的对流换热模型,基于Rayleigh-Benard对流模型和CFD数值仿真方法研究了超重力环境下,不同夹层厚度、不同超重力加速度对土体表面及夹层内部温度分布的影响,解释了超重力场对对流换热过程涡环成因及发展的现象。结果表明涡环的稳定分布与流场速度、压力及界面换热系数、温度等直接相关;不同间隙及过载下,努塞尔数均随时间降低;在传热初始阶段,夹层流场努塞尔数变化较大;在不同间隙状态下,随着超重力过载值变大,界面对流换热降低。研究获得了超重力对夹层热对流的影响,开展超重力场下试验设计时需综合考虑夹层尺度、超重力加速度等综合影响。

       

      Abstract: To study the temperature transfer laws of the air clearance space of the geotechnical model box in the hyper gravity field for design of the hyper gravity test platform tests in cold regions, the convection heat transfer model for clearance soil is established. Based on the Rayleigh-Benard convection model and the CFD numerical simulation, the effects of different clearance thicknesses and hypergravity acceleration on the temperature distribution on the soil surface and inside the clearance in the hypergravity environment are studied, and the phenomenon of the cause and development of the vortex ring in the convection heat transfer process is explained. The results show that the stable distribution of the vortex ring is directly related to the flow velocity, pressure, heat transfer coefficient of interface and temperature. The Nusselt number decreases with time under different clearances and overloads. In the start-up stage of the flow field, the Nusselt number changes greatly. In different gap states, the interfacial convective heat transfer decreases with the increase of the hypergravity acceleration. The influences of the hypergravity on the thermal convection in the slit are obtained, which can be used for the experimental design in the hypergravity field to consider the comprehensive influences of the slit scale and the hypergravity acceleration.

       

    /

    返回文章
    返回