复合非饱和土中水-热-盐多场耦合分析

    Multi-field coupling analysis of water-heat-salt in composite unsaturated soils

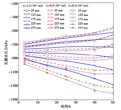
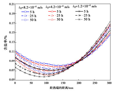
    • 摘要: 研究了非饱和黏土上覆非饱和砂土组成的复合非饱和土中的水-热-盐多场耦合问题。基于多孔介质的质量守恒和能量守恒方程,选取温度、孔隙压力和含盐率以及它们的梯度作为状态变量,建立了非稳态条件下水热盐多场耦合问题的状态方程组。将状态方程组进行Laplace变换后,进而求解该强耦合的非线性变系数微分方程组的频域解,并通过反演法获得时域解。并将数值解与自主设计试验的试验结果进行了对比,验证了所建立数学模型的准确性。分析了复合非饱和土体在温度梯度下,底部非饱和砂土的厚度和饱和渗透系数等对整个非饱和土体中水分场和盐分场分布以及迁移规律的影响,继而对盐渍土的改良工作和工程土障的建设提供试验和理论依据。

       

      Abstract: The multi-field coupling problem of water, heat and salt in the composite unsaturated soils composed of unsaturated clay and unsaturated sand is studied. Based on the mass and energy conservation equations for porous media, the temperature, pore pressure, salt content and their gradients are selected as the state variables, and the state equations for the multi-field coupling problem of water, heat and salt under unsteady conditions are established. After the Laplace transformation of the state equations, the frequency-domain solution for the strongly coupled nonlinear variable coefficient differential equations is solved, and the time-domain solution is obtained by the inversion method. The numerical solution is compared with the experimental results of the self-designed tests, and the accuracy of the established mathematical model is verified. The influences of the thickness and saturated permeability coefficient of the unsaturated sand at the bottom of the composite unsaturated soils on the distribution and migration law of water and salt fields in the whole unsaturated soils under the temperature gradient are analyzed, and then the test and theoretical basis are provided for the improvement of saline soils and the construction of engineering soil barriers.

       

    /

    返回文章
    返回