外部水源作用下岩石液氮冻结试验研究

    Experimental study on rock damage frozen with liquid nitrogen under external water source

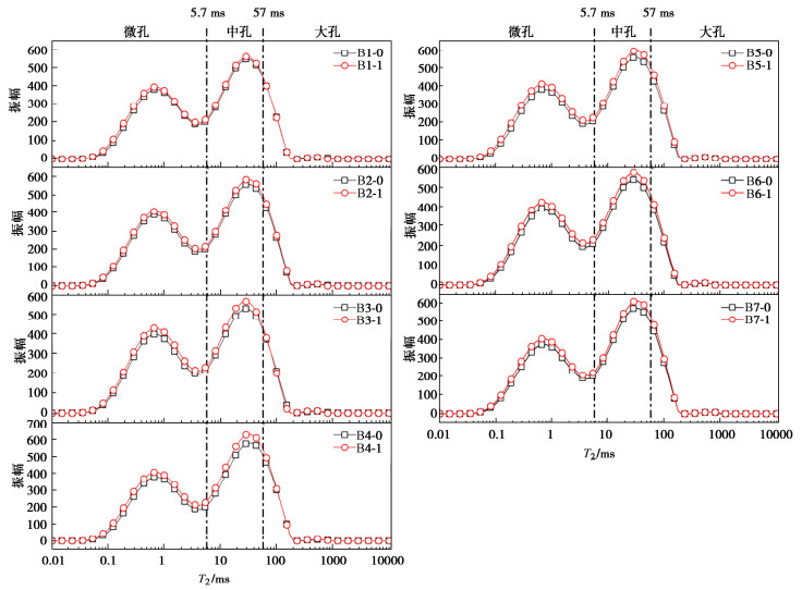
    • 摘要: 地下工程施工常遇到砂土交错和地下水丰富的软弱地层问题,液氮低温可使岩土体迅速冻结以达到土层稳定和加固目的,但液氮在快速冻结的同时也会导致周围岩土体物理力学性质受到劣化,因此,探究超低温作用下外部水源对岩石劣化作用的影响对于工程施工的长期稳定和安全具有重要意义。为研究外部水源对岩石低温劣化作用影响,对不同饱水条件下的岩样进行液氮冷浸处理后开展超声波试验、核磁共振试验和单轴压缩试验。试验结果表明:①岩样在冻结状态下仍存在损伤,且损伤程度随岩样恢复室温后进一步增加;②液氮冷浸时间40 min左右对岩样劣化作用最明显;③外部水环境导致干燥岩样劣化程度增加、而饱和岩样劣化程度降低;④当岩石外部存在水源时,长时间(> 30 min)的液氮冷浸作用会增加岩石的强度,而短时间(≤30 min)的液氮冷浸处理会劣化岩石的强度。

       

      Abstract: The construction of underground engineering often encounters the problems of staggered sand and soft strata with abundant groundwater. The low temperature of liquid nitrogen can make the rock and soil quickly freeze to achieve the purpose of soil stability and reinforcement. However, the rapid freezing of liquid nitrogen will also lead to the deterioration of the physical and mechanical properties of the surrounding rock and soil. Therefore, it is of great significance to explore the influence of external water source on rock deterioration under ultra-low temperature for the long-term stability and safety engineering construction. In order to study the influences of external water source on the low-temperature deterioration of rock, the ultrasonic experiment, nuclear magnetic resonance experiment and uniaxial compression experiment are carried out on rock samples under different saturated conditions after liquid nitrogen freezing treatment of liquid nigtrogen. The test results show that: (1) The rock samples still have damage in the frozen state, and the degree of damage increases further after the rock samples return to room temperature. (2) The freezing time of liquid nitrogen for about 40 minutes has the most obvious deterioration effects on the rock samples. (3) The external water environment increases the deterioration degree of the dry rock samples and decreases the deterioration degree of the saturated rock samples. (4) When there is a water source outside the rock, the long-term (> 30 minutes) freezing of liquid nitrogen will increase the strength of the rock, while the short-term (≤ 30 minutes) freezing of liquid nitrogen will deteriorate the strength of the rock.

       

    /

    返回文章
    返回