不同冲击气压下煤样动态剪切强度的长径比效应

    Length-diameter ratio effects of dynamic shear strength of coal samples under different impact air pressures

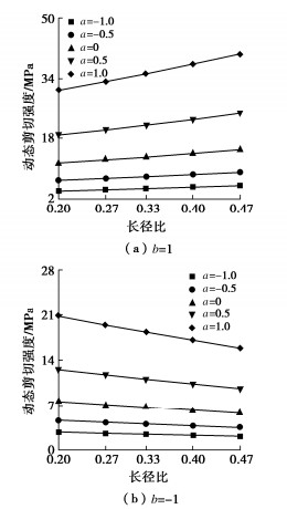
    • 摘要: 采用Φ50 mm分离式霍普金森压杆(SHPB)试验系统,开展了不同冲击气压下直径75 mm,长径比分别为0.20,0.27,0.33,0.40和0.47的5组煤样的动态剪切试验,划分了煤动态剪应力时程曲线的阶段,探讨了冲击气压对煤样动态剪切强度的影响,分析了煤样动态剪切强度和加载率的长径比效应,并建立了长径比效应理论模型。研究结果表明:①煤样动态剪应力时程曲线可分为应力初始上升、应力线性增长、应力缓慢上升和应力下降4个阶段;②煤样动态剪切强度与冲击气压呈正线性相关,但不同长径比下增加幅度存在差异,具体表现为:相同冲击气压增量下,煤样长径比越小,动态剪切强度的增加幅度越大;③煤样动态剪切强度和加载率均与长径比有关,在0.25,0.35 MPa较低冲击气压与0.45,0.55 MPa较高冲击气压下分别呈现出正、负长径比效应,并通过方差分析确定了长径比对其影响最小的冲击气压为0.376 MPa;④建立了不同冲击气压下煤样动态剪切强度长径比效应理论模型,通过加载率效应推导出加载率长径比效应理论模型,并验证了模型的合理性和准确性。

       

      Abstract: Five sets of coal samples with a diameter of 75 mm and length-diameter ratios of 0.20, 0.27, 0.33, 0.40 and 0.47 are subjected to dynamic shear tests under varying impact air pressures with a Φ50 mm-split Hopkinson press bar (SHPB) experimental system. The impact air pressures on the dynamic shear strength of coal samples and the length-diameter ratio effects on the dynamic shear strength and loading rate of coal samples are investigated, and a theoretical model is established for the length-diameter ratio effects. The experimental results demonstrate that: (1) The dynamic shear stress time curve of the coal samples can be divided into four stages: initial rise, linear increase, slow rise and fall in stress. (2) The dynamic shear strength and loading rate of coal samples are positively and linearly correlated with the impact air pressures, but there are differences in the magnitude of increase for different length-diameter ratios. As shown by the fact that the smaller the length-diameter ratio of the coal samples, the greater the increase in dynamic shear strength and loading rate at the same impact air pressure increment. (3) The dynamic shear strength and loading rate of the coal samples are both related to the length-diameter ratio, and exhibit positive and negative length-diameter ratio effects at lower ones of 0.25 and 0.35 MPa and higher ones of 0.45 and 0.55 MPa, respectively, and the impact pressures with the least effects of the length-diameter ratio are determined by ANOVA to be 0.376 MPa. (4) A theoretical model for the effects of dynamic shear strength length-diameter ratio on the coal samples under different impact air pressuress is established, and a theoretical model for the effects of loading rate length-diameter ratio is derived from the loading rate effects, and the reasonableness and accuracy of the proposed model are verified.

       

    /

    返回文章
    返回