水平循环荷载下软黏土大直径单桩承载性状离心机模型试验研究

    Bearing behaviors of large-diameter monopiles in soft clay under horizontal cyclic loading based on centrifugal model tests

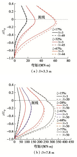
    • 摘要: 大直径单桩在静、动荷载下的响应特性与传统小直径桩存在明显区别。为研究大直径单桩基础的循环响应,开展了水平循环荷载作用下软黏土大直径单桩离心机模型试验。通过各工况下单桩响应对比,研究了不同桩径和循环幅值比下大直径单桩基础的变形、刚度弱化及孔压累积规律。试验表明,循环次数引起得弯矩增加量不会超过首次加载最大弯矩的10%。随着单向循环荷载幅值的增加,大直径单桩-土系统会依次经历弹性段,弹塑性安定段和棘轮破坏段。单桩的卸载刚度、侧向累积位移与桩周土体超孔压均受循环幅值、循环次数的影响,其中卸载刚度还与桩径呈正相关。此外,大直径刚性桩桩底土(砂土)有非常可观的负超孔压累积,这可能会抵消土体弱化对整个桩侧向行为的影响。当单向循环荷载的幅值比小于68%时,整个桩-土体系具有安定性,桩周土抗力无明显弱化,建议对楔形流动深度内的土体p-y曲线加载刚度进行0.8的折减以考虑循环弱化效应。

       

      Abstract: The response characteristics of large-diameter monopiles under static and dynamic loads are obviously different from those of traditional small-diameter piles. To study their cyclic responses, the centrifuge tests on the large-diameter monopiles in soft clay under horizontal cyclic loading are carried out. Through a contrast study on the cyclic responses of monopiles under different working conditions, the laws of deformation characteristics, stiffness weakening and excess pore pressure accumulation of large-diameter monopiles are investigated. The test results show that the increase percentage of the bending moment caused by the number of cycles is less than 10% of the first maximum bending moment. With the increasing amplitude of one-way cyclic loads, the whole large-diameter pile-soil system can go through the elastic stage, elastoplastic shakedown stage and ratchet failure stage. The unloading stiffness, lateral cumulative displacement and excess pore pressure of soils around the piles are affected by the cyclic amplitude and number of cycles. Additionally, the unloading stiffness is also positively correlated with the pile diameter. The negative excess pore pressure can significantly accumulate at the pile toe of large-diameter rigid piles, which may offset the effects of soil weakening on the lateral behaviors of a monopile. When the amplitude ratio of the cyclic loads is below 68%, the whole pile-soil system is stable, and the lateral resistance of soils insignificantly weakens. It is recommended that the loading secant stiffness of p-y curve within the wedge soil flow zone should be reduced by 0.8 to consider the cyclic weakening effects.

       

    /

    返回文章
    返回