基于空腔膨胀理论的TBM盘形滚刀侵岩载荷模型建模分析及试验验证

    Establishment and experimental verification of rock penetration load model for TBM disc cutters based on cavity expansion theory

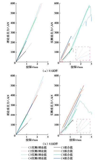
    • 摘要: 刃底密实核动态衍生现象严重影响了盘形滚刀的破岩机理,进而一定程度上影响了全断面岩石隧道掘进机(TBM)的掘进效能。参考H Alehossein钝楔形压头侵岩模型,将密实核衍生现象及密实核区周围复杂的应力场纳入考察,基于空腔膨胀理论和离散化建模思路,建立了常截面平刃滚刀侵岩模型。随后,分别以滚刀所受垂直力和刃底无因次平均接触应力为性能指标,将滚刀侵岩过程中刀圈刃部横截面几何尺寸参数和岩石物理力学性能参数作为考察变量,针对上述所建侵岩模型开展了十因素两水平的正交试验分析,探究了各考察变量的敏感程度,并分析了无因次平均接触应力的变化规律。最后,选取了2种具有不同粒径的岩石试样,制备了4种刀圈压头,并在TRW-3000三轴冲击破岩试验机上开展了侵岩试验验证。研究结果表明:对于垂直力和无因次平均接触应力而言,刀刃宽和侵深均为敏感因素;由于将密实核现象纳入考核,在滚刀压头侵岩作用下位于刃底的岩石应力水平明显大于单轴抗压强度;所建模型对于在第一次阶跃破碎之前的侵岩载荷速率的预测误差最大不超过10%,这表明模型具有良好的准确性。

       

      Abstract: The dynamic derivation of dense core at the cutter bottom seriously affects the rock-breaking mechanism of disc cutter (hereinafter referred to as cutter), and then affects the tunneling efficiency of full face rock tunnel boring machine (TBM) to a certain extent. Referring to the H. Alehossein blunt wedge indenter rock penetration model, the derivation phenomenon of dense core and the complex stress field around the dense core area is investigted, and a constant cross-section flat edge disc cutter (hereinafter referred to as cutter) rock penetration model is established based on the cavity expansion theory and discrete modeling idea. Then, taking the vertical force and dimensionless average contact stress as the performance evaluation indices, and selecting the geometric dimension parameters of the blade section of the cutter ring and the physical and mechanical property parameters of the rock as the variables, the ten-factor and two-level L12 (211) orthogonal tests are carried out. It is found that the blade width and penetration depth are the most sensitive factors. After that, the change characteristics of dimensionless contact stress at the cutter ring bottom are analyzed. It is found that because the dense core phenomenon is considered in the model, the stress of the rock under the cutter ring bottom is significantly greater than the uniaxial compressive strength, which is more in line with the engineering practice. Finally, two kinds of rock samples with different particle sizes are selected, four kinds of indenters are prepared, and the verification experiment of the theoretical model is carried out using the TRW-3000 rock breaking tester. The results show that both the cutter width and the penetration depth are sensitive factors for vertical force and dimensionless average contact stress. Because the dense core phenomenon is included in the assessment, the rock stress level at the cutter bottom is obviously greater than the uniaxial compressive strength under the intrusion of indenter. The maximum prediction error of the proposed model is less than 10%, which shows that it has good accuracy.

       

    /

    返回文章
    返回