相变黏土在三轴压缩下的渗透和应力应变特性研究

    Permeability and strain-stress characteristics of phase-change clay under triaxial compression

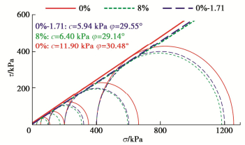
    • 摘要: 掺混石蜡基相变材料的相变黏土为寒区黏土心墙冬季施工过程中防冻控温问题的解决提供了新途径,但关系到其筑坝服役性态的渗透和力学特性尚需深入研究。基于三轴渗透-压缩试验,研究了相变黏土在不同应力和变形状态下的力学和渗透特性。研究结果表明:相变黏土的应力-应变曲线为硬化型,剪胀现象不明显,其强度指标与其相同初始干密度条件下的纯黏土较为接近,但刚度指标存在差异,分析认为在相同初始干密度下,非极性石蜡基相变材料掺入会显著增加土体的脆性,但对其他力学指标影响较小;相变黏土的渗透系数总是小于相同条件下的纯黏土,表明疏水性的石蜡基相变材料能够显著提升土料的抗渗性;以孔隙比和偏应力水平为变量,建立的回归模型能够很好预测相变黏土在不同应力和变形状态下的渗透系数,可为相变黏土作为心墙筑坝所用的普通黏土的替代材料提供依据。

       

      Abstract: The phase-change clay-included paraffin-based phase-change material (PPCM) provides a new way to solve the freeze-thaw problem during winter construction of clay-core walls in cold regions. However, the permeability and mechanical properties related to its service performance as a dam core wall need to be further studied. Accordingly, the permeability and mechanical properties of the phase-change clay under different stress and strain states are studied based on the triaxial permeability and compression tests. The results show that the stress-strain curves of the phase-change clay are strain hardening, and the dilatancy during loading is not obvious. The strength indices of the phase-change clay are close to those of the pure clay with the same initial dry density, but their stiffness indices are different. It is inferred that under the same initial dry density, the addition of non-polar PPCM significantly increases the brittleness of the soil but has small influences on the other mechanical indices. The hydraulic conductivity of the phase-change clay is always lower than that of the pure clay under the same conditions. This indicates that the hydrophobic PPCM can significantly improve the impermeability of soil. Moreover, the regression models established with the void ratio and deviatoric stress level as variables can well predict the hydraulic conductivities of the phase-change clay and the pure clay under different stress and strain states. These results may provide a basis for using the phase-change clay as a substitute of general clay for core-wall construction.

       

    /

    返回文章
    返回