不同初始状态下黄土的平面应变卸载力学特性

    Mechanical characteristics of plane strain unloading conditions with different initial states

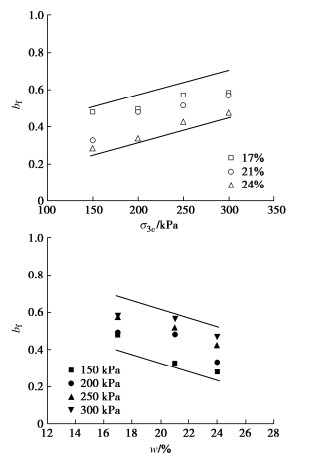
    • 摘要: 针对于黄土工程中的平面应变卸载问题,利用平面应变改造后的真三轴仪,开展了不同初始状态(原状、重塑和饱和)黄土在不同固结围压和含水率条件下的平面应变卸载试验,揭示了不同初始状态黄土的应力-应变演化关系、中主应力特性和强度特性。研究结果表明,不同初始状态黄土的应力-应变曲线在低含水率和低围压条件下呈现理想塑性,随着固结围压和含水率增大,从弱硬化型向强硬化型转变;黄土的不同初始状态对应力-应变关系演化特性影响较大,原状黄土曲线最高,重塑黄土次之,饱和黄土最低;固结围压越大、含水率越低,初始切线斜率越大,应力应变曲线越高,土的强度发挥越快。原状和饱和黄土的中主应力和中主应力参数均先减小后增大,衰减幅度大,增长幅度小,中主应力参数的增长幅度要大于中主应力;重塑黄土的中主应力和中主应力参数则先减小后基本保持稳定。平面应变卸载条件下不同初始状态黄土的黏聚力和内摩擦角均随含水率增大近似呈现线性减小;不同初始状态对土黏聚力的影响要明显大于内摩擦角。原状黄土在低围压和低含水率条件下沿着剪切带形成明显的侧向滑移破坏,其余条件下均发生测胀破坏。

       

      Abstract: For the plane strain unloading issues in loess engineering, the lateral unloading plain strain tests on the loess with various initial states (intact, remolded and saturated) under different confining pressures and water contents are carried out by using the modified true triaxial apparatus. The stress-strain evolution, intermediate principal stress characteristics and strength characteristics of the loess with different initial states under unloading stress path are revealed. The study shows that the stress-strain relationship curves of the loess with different initial states exhibit ideal plasticity under low water content and low confining pressure, and change from weak one to strong one with the increase of confining pressures and water contents. The different initial states of the loess have great influences on the evolution characteristics of stress-strain relationship. The stress-strain curves of the intact loess are the highest, followed by those of the remolded loess and saturated loess. The higher the confining pressure and the lower water content, the greater the slope of the initial tangent, the higher the stress-strain curve and the greater the soil strength. The intermediate principal stress and the intermediate principal stress coefficient of the intact and saturated loesses first decrease and then increase, with a large attenuation range and a small growth range. The growth range of the intermediate principal stress coefficient is greater than that of the intermediate principal stress. The intermediate principal stress and the intermediate principal stress coefficient of the remolded loess first decrease and then remain stable. Under the plane strain unloading, the cohesion and internal friction angle of the loess with different initial states decrease approximately linearly with the increase of water contents. The influences of different initial states on soil cohesion are significantly greater than those of internal friction angle. The intact loess forms obvious lateral slip failure along the shear band under low confining pressures and low water contents, and the lateral dilatancy failure occurs under other conditions.

       

    /

    返回文章
    返回