考虑竖向地震作用的大型地下框架结构易损性分析

    Fragility analysis of underground large-scale frame structures considering seismic effects of vertical earthquakes

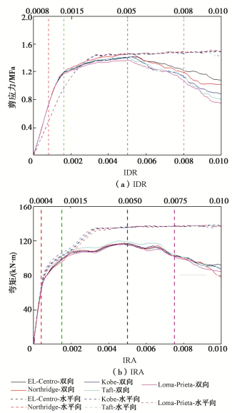
    • 摘要: 基于增量动力分析(IDA)方法,探究了单一水平向地震及水平向与竖向地震联合作用下大型地下框架结构地震响应的IDA曲线,揭示了竖向地震对结构不同危险位置响应的影响规律;针对结构的层间水平变形与弯曲变形,提出分别选择层间位移角与层间梁柱转角作为性能评价指标,阐明了竖向地震对结构抗震性能的影响机理,得到了单向和双向地震分别作用下结构的地震易损性曲线。研究表明:竖向地震作用对结构基于层间位移角的地震易损性影响较小,但会增大外侧结构的局部弯曲变形并降低结构基于弯曲变形的抗震性能,基于层间梁柱转角的地震易损性明显提高,建议综合层间位移角与层间梁柱转角对双向地震动作用下大型地下结构的地震易损性进行全面地评估。

       

      Abstract: The increase dynamic analysis (IDA) curves of seismic responses of the underground large-scale frame structure (ULSFS) are investigated during the single horizontal earthquakes and horizontal-vertical earthquakes, respectively. The influence mechanism of vertical earthquakes on the seismic responses of different vulnerable positions is revealed. Aiming at the interlayer drift deformation and flexural deformation in the ULSFS, the interlayer drift ratio (IDR) and interlayer rotation angle (IRA) are employed as the seismic performance evaluation indexes. Therefore, the influence mechanism of vertical earthquakes on structural seismic performance is further revealed. The seismic fragility curves of the ULSFS are achieved during horizontal earthquakes and horizontal-vertical earthquakes, respectively. The results show that the vertical earthquakes have small seismic influences on the seismic fragility of the ULSFS based on the IDR. However, the vertical earthquakes enlarge the local flexural deformation of the ULSFS and decrease the seismic performance of the ULSFS based on the IRA. The seismic fragility considerably increases after considering the vertical seismic effects. The IDR aiming at the horizontal drift deformation and the IRA aiming at the interlayer flexural deformation are advised to be employed to assess the seismic fragility of large underground structures during both horizontal and vertical earthquakes comprehensively.

       

    /

    返回文章
    返回