不同干密度条件下植被土干缩开裂特性试验研究

    Desiccation cracking behavior of vegetated soil with various dry densities

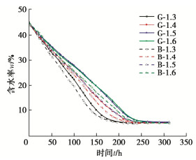
    • 摘要: 植物护坡的干缩开裂现象十分常见。为了探究植被土的干缩开裂特性,开展了一系列室内干燥试验,设置了4种不同干密度(1.3,1.4,1.5,1.6 g/cm3)的植被土试验组和裸土对照组试样,定时测量试样质量并监测其表面裂隙发育过程,采用自主研发的CIAS系统,对土体裂隙进行定量分析。试验结果表明:①随着干密度的增大,植被土蒸散速率逐渐降低。②在相同干密度的条件下,植被土的失水速率比裸土慢,并且产生裂隙时的临界含水率小于裸土产生裂隙时的临界含水率。③植被土的裂隙发育过程与干密度密切相关,随着干密度的增加,裂隙网络形态形成时对应的含水率越高。④与裸土相比,在相同干密度条件下,植被可以降低土体表面裂隙率和裂隙平均宽度,增加土体裂隙密度。

       

      Abstract: Desiccation cracking in vegetated slopes is a common phenomenon. In order to investigate the desiccation cracking characteristics of a vegetated soil, a series of desiccation tests are carried out in this study. The vegetated and bare soil groups with four different dry densities (1.3, 1.4, 1.5, 1.6 g/cm3) are selected. The weight of each soil sample is regularly measured, and the development of surface cracks is monitored. A self-developed system CIAS is adopted to quantitatively analyze the surface crack pattern during the drying process. The experimental results show that: (1) The evapotranspiration rate of the vegetation soil decreases with the increase in the dry density. (2) Compared with the bare soil, the vegetated soil sample has a slower water loss rate and a smaller critical water content under a certain dry density. (3) The dry density has a significant influence on the desiccation cracking behavior of vegetated soils. The larger the dry density, the larger the water content corresponding to the formation of the crack network pattern. (4) With a given dry density, the vegetated soil has a smaller surface crack ratio and an average crack width, but a larger crack density compared with the bare soil.

       

    /

    返回文章
    返回