考虑非荷载变形的冻土区灌注桩轴力失真纠偏计算方法

    Correction calculation method for axial force distortion of cast-in-place piles in permafrost regions considering non-load deformation

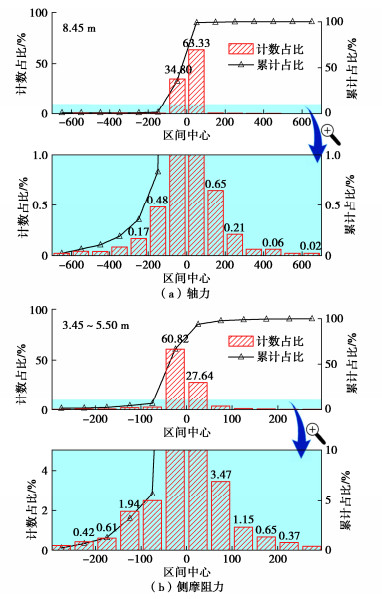
    • 摘要: 以预埋钢筋计测值间接获取桩体轴力与桩侧摩阻力是桩基监测中的常用手段。然而,钢筋应力计测值不仅包括施加于桩基的荷载产生的应力,还包括各种非荷载因素造成的附加应力。因而,简单地以钢筋和混凝土弹性模量比值来估算混凝土应力,其结果值得商榷,多年冻土区尤甚。根据钢筋混凝土桩的实际材料特性,按相容条件建立计算方程,考虑混凝土温度变形、冻胀变形、干湿胀缩变形、自生体积变形、徐变变形以及钢筋温度变形,得出考虑非荷载变形的多年冻土区桩基础混凝土、钢筋实际荷载应力,最终得到实际荷载引起的桩身轴力、桩侧摩阻力。结果表明:该计算方法具有其合理性及有效性,可避免传统方法因非荷载变形带来的轴力失真与无法合理解释的测试结果,对桩基承载性能分析具有实际意义。

       

      Abstract: It is a conventional method for pile monitoring to calculate axial force and shaft resistance indirectly according to the values measured by the rebar strain meters which are embedded in piles. However, the measured values from the rebar strain meter include the stress caused by the load applied to the pile foundation and the additional stress caused by various non-load factors. Therefore, it is rather questionable to estimate the concrete stress according to the ratio of elastic moduli between steel bars and concrete, especially in permafrost regions. Based on the actual material properties of reinforced concrete piles and consistency conditions, several equations are established considering the temperature-induced deformation, frost-heave deformation, dry shrinkage and wet-swelling deformation, autogenous deformation, creep deformation of pile concrete, and temperature-induced deformation of steel bars. Considering the non-load deformation, the load-induced stresses of concrete and steel bars of the cast-in-situ piles in permafrost regions are obtained. Finally, the axial force and shaft resistance caused by the actual load are calculated. The results show that the proposed method is reasonable and effective. The new method can avoid axial force distortion and the unreasonable results caused by the traditional method due to non-load deformation. Hence, the proposed method is of practical significance for the bearing performance analysis of pile foundations.

       

    /

    返回文章
    返回