砾石土心墙料的湿化变形特性试验研究

    Experimental study on wetting deformation characteristics of gravelly soil core materials

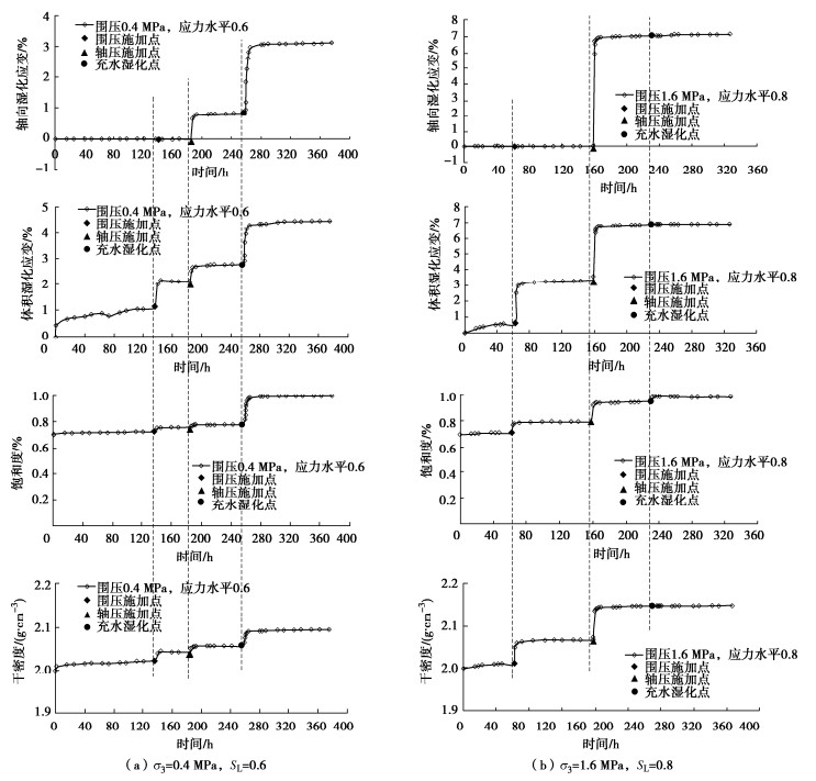
    • 摘要: 针对砾石土心墙料,采用大型应力式三轴仪开展了单线法湿化变形试验,较系统地研究了湿化应变与应力水平、围压之间的变化规律。依据试验成果,砾石土心墙料的湿化变形是明显的,且与应力水平、围压密切相关,在高围压、高应力水平条件下,外力改变了试样的饱和状态,砾石土样品逐渐从非饱和状态过渡到饱和状态,砾石土料存在应力饱和现象,导致湿化过程中没有明显的湿化变形。当围压较小时,湿化应变随应力水平的增大而增大,当围压增大到一定量值时,湿化应变反而随应力水平的增大而减小,呈现明显的分叉现象,表现出更加复杂的规律。最后提出了砾石土料湿化变形模型及模型参数,提出的砾石土料湿化模型可作为高土石坝湿化变形分析的基础。

       

      Abstract: A series of single-line wetting deformation tests are carried out on the gravelly soil core materials using a large stress triaxial apparatus to systematically investigate the variation of wetting deformation with stress level and confining pressure. According to the test results, the wetting deformation of the gravelly soil core materials is obviously related to the stress level and the confining pressure. Under of high confining pressure and stress level, the external force changes the saturation state of a specimen, and the gravel soil sample gradually transits from an unsaturated state to a nearly saturated one, indicating that a 'stress saturation' phenomenon exists in the gravelly soil materials, and resulting in less obvious wetting deformation during the wetting process. When the confining pressure is small, the wetting strain increases with the increasing stress level. When the confining pressure reaches a certain value, the wetting strain decreases with the increasing stress level, presenting an obvious bifurcation phenomenon, showing a more complex pattern. Finally, a wetting deformation model for gravel soil and its parameters are put forward, and can be used as the basis of wetting deformation analysis of high earth-rock dams.

       

    /

    返回文章
    返回