基于剪切应变特征的饱和珊瑚砂超静孔压发展模型试验研究

    Experimental study on development model of excess pore pressure for saturated coral sand based on shear strain characteristics

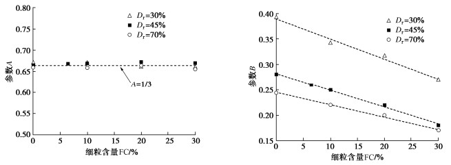
    • 摘要: 利用空心圆柱扭剪仪,针对南沙岛礁饱和珊瑚砂试样进行了一系列不排水循环扭剪试验,以探究细粒含量FC、相对密度Dr及循环应力比CSR对饱和珊瑚砂超静孔压比Ru增长特性的影响。试验结果表明:Ru-N曲线发展速率随FC及CSR的增大而增大,随Dr的增大而减小;饱和珊瑚砂的Ru-N曲线发展速率明显超出了陆域石英砂,传统的Seed孔压模型对珊瑚砂孔压发展规律的表征不完全适用。相同的FC和Dr下,不同CSR作用下的珊瑚砂Ru与剪应变幅值γa具有唯一性关系。建立了基于剪应变特征的孔压发展预测模型,分析表明,孔压模型参数A为土性相关的常数,密度修正的孔压模型参数的B/(Dr)1.5与等效骨架孔隙比esk*具有单一的负幂函数关系。

       

      Abstract: A series of undrained cyclic torsional shear tests are carried out on the saturated coral sand specimens from Nansha Islands by using the hollow cylinder torsion shear apparatus. The aim of the tests is to investigate the effects of fine contents(FC), relative density (Dr) and applied cyclic stress ratio CSR on the generated excess pore pressure ratio Ru of the specimens. The test results show that: the development rate of Ru-N curve increases with the increasing FC and CSR, but decreases with the increasing Dr. In addition, the development rate of Ru-N curve of the saturated coral sands significantly exceeds that of the terrestrial quartz sands, and the traditional Seed pore pressure model is not fully applicable to characterize the development pattern of the excess pore pressure of coral sands. For the same Dr and FC, Ru of the specimens under different CSR is uniquely related to the shear strain amplitude (γa). A pore pressure evaluation model based on the shear strain characteristics is established, and the analysis shows that the pore pressure model parameter A is a soil-specific constant, and the density-corrected pore pressure model parameter B/(Dr)1.5 has a single negative power function relationship with the equivalent skeleton void ratio esk*.

       

    /

    返回文章
    返回