温升作用对深海沉积物静力特性及临界循环应力比的影响研究

    Undrained heating effects on monotonic shear behaviors and critical cyclic stress ratios of deep-sea sediment

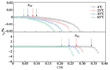
    • 摘要: 针对取自中国南海西部海槽的深海黏土质沉积物,在不排水升温条件下开展了重塑试样的静动力学试验。探讨了温升作用对土体的不排水抗剪强度、孔压发展规律及临界循环应力比的影响。基于Yao的理论框架给出了不排水升温导致超孔压的表达式,讨论了不同温度条件下土体的不排水抗剪强度与临界循环应力比的关系。试验结果表明,不排水升温产生的超孔压导致土体的有效应力降低,削弱了土体的不排水抗剪强度,使土体展现出了拟似超固结土的力学特性;对于分级加载的循环剪切工况,累积应变的发展速度随温度的提高显著增加,但在剪切初期,温升作用抑制了累积孔压的发展,甚至导致负累积孔压的产生。以归一化累积孔压产生的分化标准作为判定门槛循环应力比的方法不能很好地适用于具有超固结特性的土体。建议综合考虑累积变形及孔压的发展规律讨论土体的界限循环应力比。整体来看,随着温度的升高土体的抗剪强度及临界循环应力比显著降低,在工程中应当引起充分重视。

       

      Abstract: A series of temperature-controlled triaxial tests are conducted on the deep-sea sediment from the Western trough of the South China Sea. The undrained heating effects on undrained shear strength, pore pressure and critical cyclic stress ratio are discussed. Based on the Yao's theoretical framework, the expression for temperature-induced excess pore pressure is given, and then the relationship between the undrained shear strength and the critical cyclic stress ratio is discussed. The test results indicate that the temperature-induced excess pore pressure leads to the decrease of the effective stress, weakens the undrained shear strength, and results in quasi-overconsolidated mechanical properties. The development rate of accumulated strain increases noticeably under cyclic shear conditions as the temperature rises, but at the initial shear stage, the high temperature prevents the development of excess pore pressure, even leads to a negative value. The approach for calculating the threshold cycle stress ratio based on the production of the normalized excess pore pressure is inapplicable. It is proposed that the development trend of the accumulative strain and excess pore pressure should be fully considered when determining the limiting cycle stress ratio of quasi-over consolidated samples. The shear strength and critical cyclic stress ratio decrease with the increasing temperature which should be fully considered in engineering.

       

    /

    返回文章
    返回