级配对珊瑚砂颗粒破碎与变形特性的影响

    Influences of gradation on particle breakage and deformation characteristics of coral sand

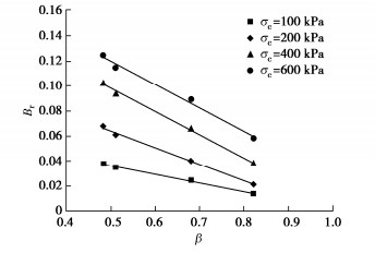
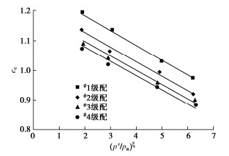
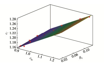
    • 摘要: 珊瑚砂具有典型的颗粒破碎特征,而破碎导致的粒径变化对珊瑚砂力学特性有显著的影响。为探究初始级配和围压对珊瑚砂颗粒破碎及变形特性的影响,选择4种不同初始颗粒级配的试样在4种不同围压下进行了三轴固结排水剪切试验。研究结果表明:在小围压下,剪切过程中不同级配的珊瑚砂试样的应力应变关系均表现出应变软化现象,体变曲线呈现出非常明显的剪胀,而且粒组的颗粒粒径越细,峰值强度越大,体积应变也越大。随着围压的增加,粗颗粒级配砂样表现为应变硬化。研究发现对于某一级配,随着围压的增加加剧了珊瑚砂颗粒破碎的发生,两者之间存在显著的幂函数关系。通过引入级配参数β,建立了颗粒破碎率Br与级配和围压之间的关系表达式。研究还发现在e-(p'/pa)ξ平面内,不同级配的珊瑚砂试样临界状态线为相互平行的直线,其截距eГ与初始孔隙比eic、级配参数β之间存在显著的线性关系,并据此建立了考虑级配影响的珊瑚砂临界状态方程。

       

      Abstract: The mechanical properties of coral sand are significantly affected by the change of gradation due to the particle breakage. A series of triaxial consolidated drained shear tests are carried out to investigate the influences of the initial gradation and confining pressure on the particle breakage and deformation properties of the coral sand. The tests result show that the stress-strain curves exhibit a strain-softening behavior for the coral sand with different gradations under low confining pressures. The volumetric strain curves show very obvious dilatancy, while greater peak strength and volumetric strain are obtained for finer particles. With the increase of confining pressure, the stress-strain curves of samples with coarse grain gradation present a strain-hardening behavior. For a particular gradation, the particle breakage of the coral sand is apparent with the increase of confining pressure, and there is a pronounced power function relationship between them. By introducing a gradation parameter β, an expression representing the relationship among the relative breakage Br, the gradation and the confining pressure is established. Furthermore, the critical state lines for the coral sand with different gradations are parallel on the e-(p '/pa)ξ plane, and there is a predominant linear relationship among the intercept of the critical state lines eГ, the initial void ratio eic, and the gradation parameter β. Based on this study, a critical state equation for the coral sand considering the effects of the gradation is established.

       

    /

    返回文章
    返回