泥水盾构开挖面泥膜渗透特性与压力传递机制

    Permeability characteristics of filter cake and pressure transfer on face during slurry shield tunnelling

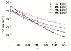
    • 摘要: 泥膜可以将泥浆压力传递到开挖面土体骨架上,转化为土体有效应力,因此泥膜的渗透特性是保持泥水盾构开挖面稳定的关键因素。采用泥浆渗透试验,研究了开挖面水力梯度、地层土体粒径和泥浆渣土含量等对泥膜形成的影响规律。试验结果显示,水力梯度越小,越不利于泥膜形成。细砂地层有利于泥膜形成,但泥膜和渗透带很薄,易被破坏;中砂和粗砂地层虽不利于泥膜形成,较厚的渗透带却有利于开挖面稳定。泥膜的渗透系数比渗透带的渗透系数低100倍以上,渗透带的渗透系数介于10-7~10-5 m/s,而泥膜的渗透系数的小于10-8 m/s;泥膜或渗透带的渗透系数越小,地层超静孔压的影响范围越小,孔压下降得越快。当泥浆中掺有渣土时,泥浆的渗透速度高于未掺渣土的泥浆;渗透带的渗透系数随泥浆密度增大而增大,且地层超静孔压下降速率随泥浆密度增大而减小。

       

      Abstract: The slurry pressure can be transferred to the soil skeleton of the tunnel face through the filter cake and becomes the effective stress, which therefore is important for the tunnel face during slurry shield tunnelling. From the laboratory infiltration tests, three key factors affecting the formation of filter cake are discussed: the hydraulic gradient on the tunnel face, the sand content of slurry and the soil particle size. A lower hydraulic gradient leads to longer time of filter cake formation. A filter cake is more easily formed for the fine sand than the medium and coarse sand, but the filter cake is easily damaged. Although a filter cake is harder to be formed for the medium and coarse sand, the slurry-infiltrated zone is thicker and thus is more significant for the stability of the tunnel face. The permeability coefficient of the filter cake is more than 100 times lower than that of the slurry-infiltrated soil. The permeability coefficient of the filter cake is less than 10-8 m/s, while that of the slurry-infiltrated soil is between 10-7~10-5 m/s. A lower permeability coefficient of the filter cake or slurry-infiltrated zone leads to a smaller distribution zone and a higher decrease rate of the excess pore pressure. When the slurry is mixed with sand, the slurry infiltration rate is higher than that of the clean slurry. The permeability coefficient of the slurry-infiltrated zone increases with the increasing slurry density, and the decrease rate of the excess pore pressure decreases with the increasing slurry density.

       

    /

    返回文章
    返回