细粒级尾矿上游法筑坝放矿参数优选试验研究

    Experimental study on optimization of ore-drawing parameters for fine-grained tailings dams constructed by upstream method

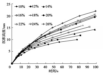
    • 摘要: 细粒尾矿上游法筑坝,由于颗粒细,且在浓缩过程中需添加絮凝剂,放矿后尾矿难以水力分选,无法形成干滩,导致坝体稳定性较差,难以筑坝。针对细粒尾矿放矿参数优选的问题,以中国某铅锌尾矿为例,基于尾矿沉积机理,对矿浆进行沉积及流变试验,初步筛选出临界分选浓度为28%;且在55 m长的沉积模型槽内进行筑坝模型试验,分析放矿浓度、流量对尾矿流动沉积、淤积坡度及沉积尾矿物理力学性质的影响。利用模型试验优选的放矿参数在实际尾矿坝上进行放矿堆坝,取得了良好效果,验证了室内模型试验的有效性。提出的利用一维沉降与流变测试相结合初步确定矿浆分选浓度,并利用大型沉积模型槽进行堆坝模拟试验以进一步确定最优放矿参数的方法,对于细粒尾矿上游法筑坝具有工程实用价值。

       

      Abstract: Due to the fine particle composition of tailings and the addition of flocculant in the concentration process, the hydraulic sorting is weakened during the flow and deposition of tailings slurry, and dry beach can not be formed, resulting in lower stability of upstream-method tailings dams. The problem of optimizing the ore-drawing parameters of fine-grained tailings is studied based on the example of a lead-zinc tailings dam in China. Based on the sedimentation mechanism of tailings, the sedimentation and rheological characteristics of slurry are tested. The critical separation concentration of tailings slurry is preliminarily selected as 28%. Then, the upstream-method model tests are carried out in the 55 m-long horizontal sedimentary model flume to analyze the effects of slurry concentration and discharge rate on the tailings sediment sorting, the deposited beach slope and the physical and mechanical properties of the tailings. The drawing parameters optimized by the model tests are applied to the actual tailings dam, and good results are achieved, which fully verifies the effectiveness of the laboratory model tests. The method for preliminary determination of the critical slurry concentration by one-dimensional settlement and rheological property tests and model tests of a large sedimentation model flume is proposed to further determine the optimal drawing parameters, which has important engineering practical value for the optimization of drawing technology of fine-grained tailings dams by upstream-method.

       

    /

    返回文章
    返回