基于极限分析下限法的筒型基础地基承载特性研究

    Bearing characteristics of bucket foundation based on lower bound method of limit analysis

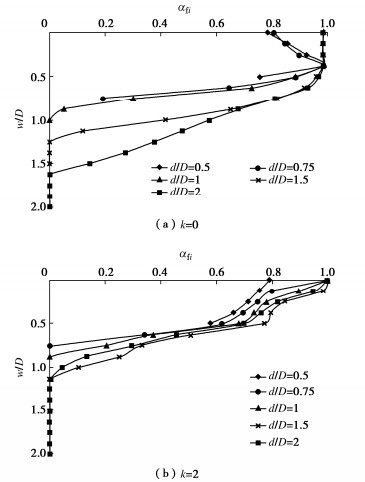
    • 摘要: 筒型基础凭借其成本低、工期短且对地基扰动相对较小的优势,已成为中国海上风电的重要基础形式之一。由于其基础结构形式复杂,经典的地基计算方法无法准确评估其地基竖向承载力。利用有限元极限分析下限法,建立了考虑筒-土间摩擦的筒型基础地基竖向承载力的下限解求解程序,在此基础上分析了土体强度不均匀性、筒型基础长径比及筒外壁-土间摩擦对筒型基础地基竖向承载力的影响,提出了综合考虑以上因素的筒型基础地基竖向承载力计算公式。

       

      Abstract: With the advantages of low cost, short construction period and relatively small foundation disturbance, the bucket foundation has become one of the important foundation forms of offshore wind power in China. Because of its complex foundation structure, the classical method for foundations can not accurately evaluate the vertical bearing capacity of the bucket foundation. In this study, the lower bound method of finite element limit analysis is used to transform the bucket-soil interaction into an inequality constraint condition between the bucket-soil friction and the undrained shear strength of the soil, and a lower bound solution program for the vertical bearing capacity of the bucket foundation is established. On this basis, the effects of the non-uniformity of the soil strength, length-diameter ratio of the bucket foundation and friction between the outer wall of the bucket and the soil on the vertical bearing capacity of the bucket foundation are analyzed, and a formula for calculating the vertical bearing capacity of the bucket foundation considering the above factors is proposed.

       

    /

    返回文章
    返回