基于颗粒破碎耗能的粗粒料剪胀方程研究

    Dilatancy equation for coarse-grained soils incorporating particle breakage energy

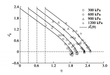
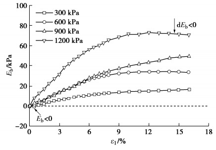
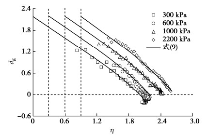
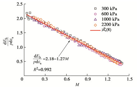
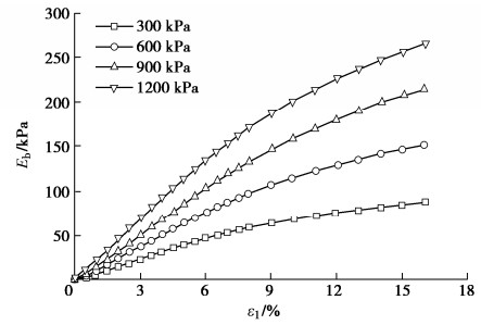
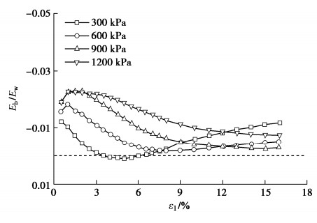
    • 摘要: 粗粒料颗粒破碎和应力变形的内在联系可以用颗粒破碎耗能反映。研究了三轴试验过程中粗粒料的颗粒破碎变化规律,根据此规律对Ueng等提出的考虑颗粒破碎的能量平衡方程中的摩擦系数M进行了修正,以此解决依据该能量平衡方程计算出的颗粒破碎耗能违反热力学定律的问题。在此基础上,发展了一个形式简单且适用于粗粒料的剪胀方程。主要结论如下:①提出的颗粒破碎指标与围压及轴向应变之间的数学关系可以较好地描述三轴试验过程中粗粒料的颗粒破碎变化规律;②通过对能量平衡方程中的摩擦系数进行修正实现了颗粒破碎耗能的合理计算,满足了热力学定律;③试验结果表明,剪胀耗能在总的输入功里占比甚微,在能量平衡方程中可以忽略剪胀耗能;④ \textdE_\textb / p\textd\varepsilon _\texts 与M之间存在一个明显的线性关系,将其代入忽略剪胀耗能的能量平衡方程得到了最终的剪胀方程。研究表明,该剪胀方程可以较好地模拟粗粒料的剪胀行为,而且其数学形式简单,可以推出其塑性势函数,为后续考虑颗粒破碎的分数阶本构模型的研究提供了条件。

       

      Abstract: The internal relationship between particle breakage and stress deformation of coarse-grained soils can be reflected by the particle breakage energy. The change law of particle breakage of coarse-grained soils during triaxial tests is studied. According to this law, the fraction coefficient M in the energy balance equation proposed by Ueng and Chen is modified to solve the problem that the particle breakage energy calculated by the energy balance equation violates the thermodynamic law. On this basis, a simple dilatancy equation for coarse-grained soils is developed. The main conclusions are as follows: (1) The proposed mathematical relationship among particle breakage index, confining pressure and axial strain can describe the change law of particle breakage well. (2) The reasonable calculation of particle breakage energy is realized by modifying the fraction coefficient in the energy balance equation, which satisfies the thermodynamic law. (3) The test results show that the ratio of the dilatancy energy to the total input work is very small, so it can be ignored in the energy balance equation. (4) There is an obvious linear relationship between \textdE_\textb / \textd\varepsilon _\texts and M, and a dilatancy equation can be developed by substituting this linear relationship into the energy balance equation, and this dilatancy equation can well simulate the dilatancy behaviors of coarse-grained soils, and its mathematical form is simple enough, so that its plastic potential function can be derived, which provides conditions for the subsequent studies on the fraction-order constitutive model considering particle breakage.

       

    /

    返回文章
    返回