不同中主应力系数和负温条件下冻结砂土真三轴试验研究

    True triaxial tests on frozen sandy soil under different intermediate principal stress coefficients and negative temperatures

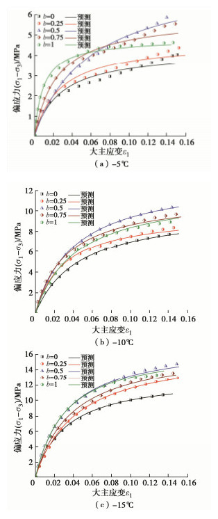
    • 摘要: 为研究冻土在复杂应力路径下的力学性质,利用自主研发的冻土真三轴仪,研究了温度和中主应力系数bf对冻结砂土强度和变形特性的影响。试验结果表明:不同试验条件下的偏应力–大主应变曲线均表现出应变硬化的特性。当0 ≤ bf≤ 0.5时,破坏强度随bf的增加而增加,当b从0.5增长到1时,破坏强度表现出降低的趋势,且bf>0时的强度均大于bf=0的强度。强度随着温度降低呈现出线性增长规律。随着bf的增加,中主应力方向上的变形由膨胀向收缩转变;小主应力方向始终产生膨胀变形,且变形速率加快;体应变均表现出先剪缩后剪胀的特性。应力水平在30%~95%区间内的试验点适用于计算Duncan-Chang模型参数。

       

      Abstract: To study the mechanical properties of frozen soil under complex stress paths, the effects of negative temperature and intermediate principal stress coefficient (bf) on the strength and deformation characteristics of frozen sandy soil are studied by using the self-developed true triaxial apparatus. The test results show that the stress-strain relationship under different bf values exhibits strain hardening characteristics under three dimensional stress states. The failure strength increases with bf increasing from 0 to 0.5 and then decreases when b is in the range of 0.5~1. However, the values are still greater than those under the axial-symmetric stress state (bf = 0). The strength increases linearly with the decline of the negative temperature. With the increase in bf, the deformation in the direction of the intermediate principal stress changes from dilative to compressive and that in the direction of the minor principal stress remains dilative throughout. All the volumetric strain curves demonstrate the characteristics of shear shrinkage first and then dilatancy. The test points in the range of 30%~95% stress level are suitable for calculating the Duncan-Chang model parameters.

       

    /

    返回文章
    返回