改进屈服面和旋转硬化准则的各向异性黏土弹塑性模型

    Anisotropic elastoplastic model for clays with improved yield surfaces and rotational hardening rule

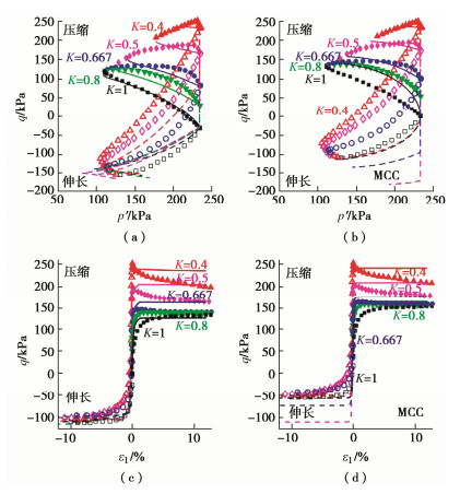
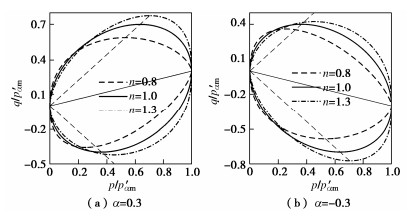
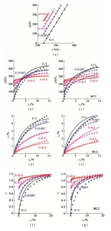
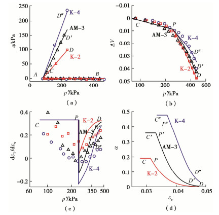
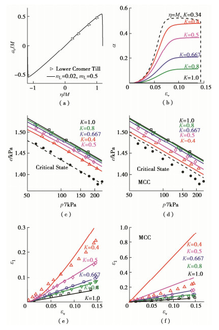
    • 摘要: 基于临界状态理论和旋转硬化法则提出了改进的各向异性模型。首先从恒定应力比加载试验结果出发,采用对数型插值函数描述土体的变形特性,通过增加参数n,推导出可以呈现多种形状的各向异性土屈服面表达式。屈服面在n > 1,n < 1和n=1时分别呈现泪滴形、子弹头形和椭圆形。然后提出了恒定应力比加载时旋转硬化法则边界值表达式,在各向同性和临界状态下,该表达式的值最终为0。该模型在n=1且不考虑屈服面旋转时,可以退化为经典的修正剑桥模型。最后运用显示积分算法实现模型的数值化,并采用恒定应力比加载试验、变换应力路径试验、排水三轴压缩试验、不排水三轴压缩试验和不排水三轴伸长试验对模型进行验证。结果表明,所提出的各向异性模型能较准确地描述黏性土在一系列应力路径下的体积变形特性、剪切特性和强度特性。

       

      Abstract: A new anisotropic constitutive model is proposed based on the critical state theory and the rotational hardening rule. Firstly, an expression for yield surfaces is developed by employing the non-linear logarithmic function capable of describing volumetric deformation characteristics of anisotropic soils in a wide variety based on the results of the constant stress ratio loading tests. The shape of yield surfaces can be controlled by the introduced parameter n. The yield surface is elliptical for n=1, bullet for n < 1 and teardrop for n > 1. Then, the expression for the boundary value with rotational hardening rule under the virgin constant stress ratio loading is proposed. Under isotropic loading and critical conditions, the value of the expression reaches zero eventually. The model can be degenerated to the modified Cam-clay (MCC) when n=1 and the rotation of the yield surface is not considered. Finally, the explicit modified Euler method with automatic error control is used to numeralize the model, and the model is verified by the constant stress ratio loading tests, variable stress path tests, drained triaxial compression tests, undrained triaxial compression tests and undrained triaxial extension tests. The results show that the proposed anisotropic constitutive model can accurately describe the volume deformation, shear and strength characteristics of clays under a series of stress paths.

       

    /

    返回文章
    返回