基于分形维数特征的岩石介质气-水相对渗透率预测模型研究

    A model for predicting gas-water relative permeability of rock media based on fractal dimension characteristics

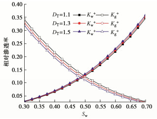
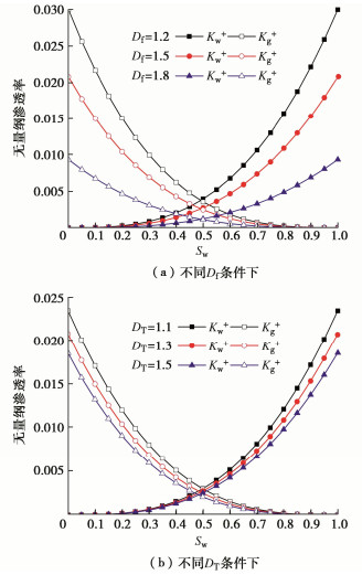
    • 摘要: 相对渗透率是表征岩石介质两相流动特征的重要力学参数,如何快速有效地获取相对渗透率是当前研究的热点问题。采用分形方法将岩石孔隙等效为尺寸不规则的毛细管,基于动量平衡原理建立气-水两相流动的平衡关系式,开发了一种预测相对渗透率的分形解析模型。然后,基于孔径尺度和流动路径的迂曲度特征,研究了岩石的孔隙结构对两相流体渗流特性的影响。该模型得出的相对渗透率曲线与相关试验数据吻合程度高,验证了模型的合理性。研究结果表明:该模型相比于其他相对渗透率模型准确性更高。岩石的渗流特性与流体性质和孔隙结构有关,表征孔径尺度的分形维数Df和迂曲度分形维数DT越小,两相流的渗透率越大,而DT的值增大会降低水相的相对渗透率,增大气相的相对渗透率。该模型无需使用任何经验常数计算相对渗透率,避免了数据处理的繁琐过程,可有效应用于页岩气开采等工程领域。

       

      Abstract: The relative permeability is an essential mechanical parameter characterizing the two-phase flow of rock media, and how to obtain the relative permeability quickly and effectively has become a critical issue to be solved in the current studies. A fractal analytical model for predicting the relative permeability of two-phase flow is developed using the fractal method to equate the rock pores as the capillaries with varying sizes and establish the equilibrium equation for gas-water phase flow based on the momentum balance. Then, the influences of the pore structure of the rock media on the permeability characteristics of the two-phase flow are studied based on the pore size scale and the tortuosity characteristics of the flow path. The relative permeability curves obtained by the model are in good agreement with the relevant experimental data, which verifies the reasonableness of the model. The results show that the model has better accuracy than other relative permeability models. The permeability characteristics of the rock media are related to fluid properties and pore structure. The smaller the fractal dimension Df and the tortuous fractal dimension DT, the larger the permeability of two-phase flow. In addition, increasing the value of DT decreases the relative permeability of the water phase and increases the relative permeability of the gas phase. The model does not use any empirical constants to calculate the relative permeability, which avoids tedious data processing and can be effectively used in engineering fields such as shale gas extraction.

       

    /

    返回文章
    返回