考虑土体弹性半空间的水-桩-土相互作用系统在SV波作用下的解析解

    Analytical solution for water-pile-soil interaction system under SV waves considering elastic half-space of soil

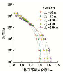
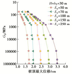
    • 摘要: 近海结构单桩基础所在海洋环境复杂,地震作用下近海桩基础结构工程可能遭受严重的破坏。针对桩基础结构在地震作用下的动力响应问题,建立了一种地震作用下考虑土体弹性半空间的水-桩-土相互作用系统简化解析解;首先,桩体假设为黏弹性材料,可在水-桩-土相互作用系统中分为多个桩段,土体和水体分别假设为线黏弹性介质和声学介质;然后,基于亥姆霍兹分解、分离变量法和水-桩-土连续性条件,得到了整个桩体的位移表达式;之后,把解析解退化为两种情况,分别与无水有土情况下的子结构方法以及有土有水情况下的刚性解析解方法进行了对比,从而验证弹性解析解的合理性;最后,通过使用本弹性解析解进行了一些参数分析,以此研究水体、土体和桩体3种参数对桩体位移动力响应的影响,研究结果对海上桩基设计有一定的参考价值。

       

      Abstract: The offshore structures of single pile foundation may suffer serious damage under seismic action because of the complex marine environment. In order to solve the dynamic response of the pile foundation under seismic action, a simplified analytical solution for water-pile-soil interaction system considering elastic half-space of soil under seismic action is established. Firstly, the pile is assumed to be viscoelastic material, which can be divided into multiple pile segments in the water-pile-soil interaction system. The soil and water are assumed to be linear viscoelastic medium and acoustic medium respectively. Then, based on the Helmholtz decomposition, separation of variables and water-pile-soil continuity condition, the displacement expression of the whole pile is obtained. Then, the analytical solution is degenerated into two cases, and compared with that of the substructure method in the case of soil without water and the rigid analytical solution in the case of soil with water so as to verify the rationality of the elastic analytical solution. Finally, some parameters are analyzed by using this elastic analytical solution to study the influences of three parameters, namely water, soil and pile, on the dynamic response of pile displacement. The research results are of certain reference value for the design of offshore pile foundations.

       

    /

    返回文章
    返回