基于岩石峰前起裂及峰后特征的脆性评价方法

    Brittleness evaluation method based on pre-peak crack initiation and post-peak characteristics of rock

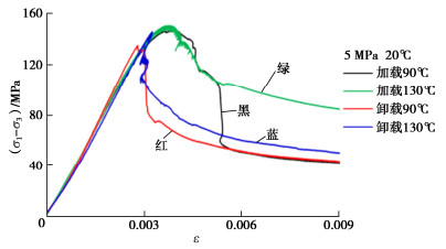
    • 摘要: 现有研究表明岩石脆性与其内部微裂纹起裂、扩展有密切联系,但考虑岩石起裂特征的脆性评价指数并不多见,在对脆性理论以及起裂特征分析的基础上,提出了一种基于岩石峰前起裂及峰后特征的脆性评价方法。首先,结合George和Tarasov & Potvin等对脆性的描述和定义,从理论上分析了基于岩石峰前起裂及峰后特征脆性评价方法的可行性。其次,构建了表征岩石峰前脆性特征的分量Bi和表征岩石峰后脆性特征的分量Bii,并将两者之积作为表征峰前起裂和峰后应力跌落特征的脆性指数BI。最后,结合不同加载方式、围压以及岩性条件下花岗岩、砂岩和大理岩试验数据对其进行了验证。结果显示:围压5~35 MPa时,大理岩脆性与围压呈负相关关系;围压5 MPa时,三轴卸荷试验条件下花岗岩脆性比三轴压缩试验条件下大。花岗岩、砂岩、大理岩相应的脆性指数BI值分别为0.684,0.336,0.186,计算结果与试验结果吻合。提供了一种从起裂和应力跌落角度评价岩石脆性的新思路,对丰富室内岩石脆性分析与评价具有一定指导意义。

       

      Abstract: The existing researches show that the brittleness of rock is closely related to the initiation and propagation of internal microcracks, but there are few brittleness evaluation indexes considering the characteristics of rock initiation. Based on the theoretical analysis of brittleness and the characteristics of rock initiation, a brittleness evaluation method is proposed based on the pre-peak initiation and post-peak characteristics of rocks. Firstly, based on the descriptions and definitions of brittleness by George, Tarasov & Potvin et al., the feasibility of evaluation method based on the pre-peak crack initiation and post-peak characteristic brittleness is theoretically analyzed. Secondly, component Bi representing pre-peak brittleness of rocks and component Bii representing the post-peak brittleness of rocks are constructed, and the product of the two is the brittleness index BI representing the pre-peak fracture initiation and post-peak stress drop. Finally, it is verified based on the test data of granite, sandstone and marble under different loading methods, confining pressures and lithology conditions. The results show that the brittleness of marble decreases with the increase of confining pressure from 5 to 35 MPa. At confining pressure of 5 MPa, the brittleness of granite under the triaxial unloading tests is greater than that under the triaxial compression tests. The values of the corresponding brittleness index BI of granite, sandstone and marble are 0.684, 0.336 and 0.186 respectively, and the calculated results are consistent with the experimental ones. This study provides a new way to evaluate the rock brittleness from the perspective of crack initiation and stress drop, which has guiding significance to enrich the analysis and evaluation of indoor rock brittleness.

       

    /

    返回文章
    返回