基于两级光滑边域混合单元的弹塑性二阶锥规划方法

    Elastoplastic second-order cone programming based on mixed elements using a two-level mesh repartitioning scheme

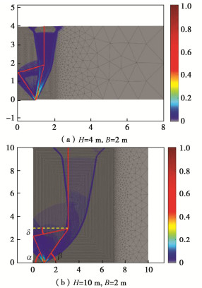
    • 摘要: 弹塑性增量分析的数学规划方法是分析岩土工程变形和强度问题的有效途径之一,在处理非光滑屈服面、接触和多屈服面等复杂问题时具有独特的优势。为进一步简化计算和克服体积锁定问题,在广义Hellinger-Reissner(GHR)变分原理的基础上,提出一种新型混合常应力-两级光滑边域的三节点三角形单元,在关联流动法则和Mohr-Coulomb屈服准则条件下,将弹塑性增量问题转化为标准的二阶锥规划问题,并将黏-摩擦接触条件转化为锥约束条件引入到弹塑性增量分析的二阶锥规划问题中,随后采用高效的原对偶内点算法对其进行求解。最后将新方法用于岩土工程中两类经典问题的弹塑性数值分析。结果表明:新方法在计算效率、收敛性和精度方面均优于传统六节点三角形混合单元。

       

      Abstract: The mathematical programming approach of elastoplastic incremental analysis is one of the effective ways to analyze deformation and strength problems in geotechnical engineering and has unique advantages in dealing with the complex problems such as non-smooth yield surface, contact conditions and multi-surface plasticity. To further simplify the computational framework and overcome the volumetric locking, a novel mixed constant stress-smoothed strain three-node triangle element with a two-level mesh repartitioning scheme is proposed to discretize the generalized Hellinger-Reissner (GHR) variational principle, the boundary value problem of elastoplastic problem can be reformulated as a conic programming problem under the constraint of the associated flow rule, and the cohesive-frictional contact condition is treated as a set of conic constraints and introduced into the conic programming problem of the elastoplastic incremental analysis. Then, an efficient primal-dual interior point algorithm is used to solve it. Finally, the proposed method is applied to two classical geotechnical engineering problems. The results show that the new method is superior to the traditional mixed six-node triangular element in terms of the computational efficiency, convergence and accuracy.

       

    /

    返回文章
    返回