堆载-真空联合预压下的未打穿竖井地基固结理论

    Consolidation theory of soft foundation with partially penetrating vertical drains under surcharge-vacuum preloading

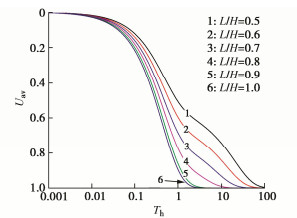
    • 摘要: 针对现有未打穿竖井地基固结计算方法存在的不足,提出一种固结度简化计算方法,将未打穿竖井地基分成包含竖井和不包含竖井的两层土体分别进行计算。该方法基于连续排水边界条件的思想,考虑了上下层土体间的孔压连续性。在堆载–真空联合预压下分别推导得到顶面排水且底面排水(PTPB)和顶面排水且底面不排水(PTIB)条件下的超静孔隙水压力和平均固结度解析解。通过与现有近似法和半解析解的对比分析,验证了本文解答的合理性。基于所得解,探究了堆载–真空联合预压下的未打穿竖井地基的固结性状。结果表明,竖井贯入度越大,土体整体固结速率越快;在考虑真空预压的PTPB条件下,下卧层土体内的真空负压沿深度向下衰减。

       

      Abstract: Due to the limitations of the existing methods, a simplified method for calculating the consolidation degree for the soft foundation with partially penetrating vertical drains is devised, in which the soil is divided into two layers: an upper layer with vertical drain and a lower layer without vertical drain. The proposed method accounts for the continuity of pore-water pressure between the upper and lower soil layers using the continuous drainage boundary condition. Under a surcharge-vacuum combined load, the analytical solutions to the excess pore-water pressure and consolidation degree are derived based on pervious top with pervious bottom (PTPB) and pervious top with impervious bottom (PTIB) conditions, respectively. The rationality of the present solution is verified by comparing it with the existing simplified methods and semi-analytical solutions. On basis of the present solution, the consolidation behaviors of soft foundation with partially penetrating vertical drains under surcharge-vacuum preloading are investigated. The results show that the whole consolidation rate becomes quick with the increase of penetration degree. When considering the vacuum preloading under PTPB condition, the vacuum negative pressure has attenuation along depth in the lower soil layer.

       

    /

    返回文章
    返回