平面Rayleigh波入射下饱和土中浅埋隧道复合式衬砌的动力响应

    Dynamic response of composite linings of shallowly buried tunnels in saturated soils subjected to incidence of plane Rayleigh waves

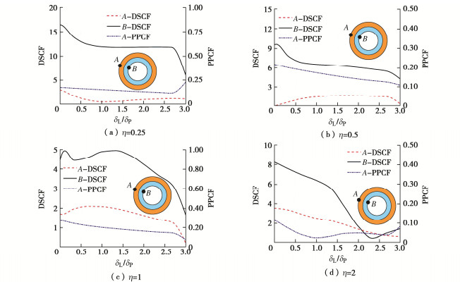
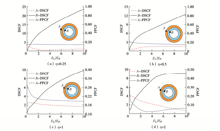
    • 摘要: 基于Biot波动理论,采用Fourier-Bessel级数展开法,建立了平面Rayleigh波入射下,饱和土中浅埋隧道复合式衬砌的散射力学模型,求解了频域内复合式衬砌的动应力集中系数、孔压集中系数的解析解,通过参数化分析,研究了Rayleigh波在不同入射频率作用下,内衬和外衬的刚度比、厚度比、隧道埋深等因素对复合式衬砌动力响应的影响规律。结果表明,入射频率对复合式衬砌的动应力集中系数和孔压集中系数的空间分布和幅值影响显著;增大内衬和外衬的刚度比、厚度比可以显著降低外衬的动应力集中系数和孔压集中系数,最大降幅可达90%以上,但会显著放大内衬的动应力集中系数,而且超过一定幅值后,对外衬的减震效果影响有限,建议内衬和外衬刚度比取值范围为2~4,厚度比取值范围为1~2;随埋深的增大,内衬的动应力集中系数逐渐降低,Rayleigh波对浅埋隧道动力响应的影响更为显著。研究成果可为水下隧道的抗减震设计提供理论支撑。

       

      Abstract: Based on the Biot wave theory and the Fourier-Bessel series expansion method, a mechanical model for scattering of composite linings of shallowly buried tunnels in saturated soils subjected to incidence of plane Rayleigh waves is established. The analytical solutions of dynamic stress concentration coefficient, pore pressure concentration coefficient and displacement of saturated soils of the composite linings in frequency domain are solved. Through the parameterization analysis, the influences of the stiffness ratio, thickness ratio and tunnel depth on the dynamic response of the composite linings subjected to Rayleigh waves in different frequencies are studied. The results show that the incident frequency has a significant effect on the dynamic stress concentration coefficient and pore pressure concentration coefficient of the composite linings. Increasing the stiffness ratio and thickness ratio of inner linings to outer linings can significantly reduce the dynamic stress concentration factor and pore pressure concentration factor of the outer linings, and the maximum decrease can be more than 90%, but can significantly amplify the dynamic stress concentration factor of the inner linings, and the impact of shock absorption of the outer linings is limited when the amplitude exceeds a certain value. It is suggested that the stiffness ratio of inner linings to outer linings should be 2~4, and the thickness ratio should be 1~2. With the increase of the buried depth, the dynamic stress concentration coefficient of the inner linings decreases gradually, and the influences of Rayleigh waves on the dynamic response of shallowly buried tunnels are more significant. The results may provide theoretical support for the anti-shock design of underwater tunnels.

       

    /

    返回文章
    返回