改进Knothe地表动态沉降预测模型及其参数分析

    Improved Knothe surface dynamic subsidence prediction model and its parameter analysis

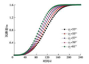
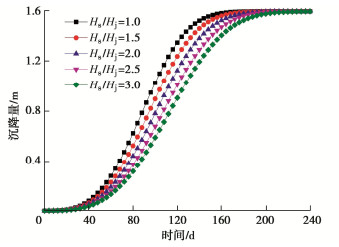
    • 摘要: 针对传统Knothe时间模型描述地表动态沉降过程中的不足,在Knothe时间模型基础上考虑了上覆地层非线性力学特征,建立改进Knothe时间模型,理论分析表明改进后时间模型符合地表单点沉降、沉降速度和沉降加速度变化规律;结合现场实测数据和双介质法,给出改进Knothe时间模型参数计算表达式。采用兴隆庄煤矿4326工作面、三道沟煤矿35101工作面和阳泉二矿8403综采工作面开采地表沉降监测数据,对传统Knothe时间模型和改进Knothe时间模型精度进行对比分析。结果表明:改进时间模型能够更真实地反映地表随开采时间的动态变化过程,预测值和实测值的平均相对标准偏差仅为3.22%,远低于Knothe时间模型的15.72%,验证了改进时间模型的精确性和可靠性;地表动态沉降过程受煤层回采速度v、松散层厚度Hs、基岩层厚度Hj、松散层充分采动角φs和基岩充分采动角φj影响,且影响敏感度依次为:HjvHsφjφs。研究可为煤层开采地表动态沉陷预测提供一定的借鉴和参考。

       

      Abstract: In view of the shortcomings of the traditional Knothe time model in describing the process of surface dynamic subsidence, based on the Knothe time model, considering the nonlinear mechanical characteristics of the overlying strata, an improved Knothe time model is established. The theoretical analysis shows that the improved time model conforms to the variation laws of surface single point subsidence, subsidence velocity and subsidence acceleration. Based on the field measured data and the two-medium method, the expression for parameters of the improved Knothe time model is given. Based on the surface subsidence monitoring data of 4326 working face of Xinglongzhuang Coal Mine, 35101 working face of Sandaogou Coal Mine and 8403 fully mechanized working face of Yangquan No. 2 Coal Mine, the accuracies of the traditional Knothe time model and the improved Knothe time model are compared and analyzed. The results show that the improved time model can more truly reflect the dynamic change process of the surface with the mining time. The average relative standard deviation between the predicted and measured values is only 3.22%, which is far lower than 15.72% of the Knothe time model, which verifies the accuracy and reliability of the improved time model. The process of surface dynamic subsidence is affected by the mining speed v of coal seam, the thickness Hs of loose layer, the thickness Hj of bedrock layer and the full mining angle of loose layer φi and the full mining angle of bedrock φj, and the impact sensitivity is in the order of Hj, v, Hs, φj and φi. The results may provide some reference for the prediction of surface subsidence in coal seam mining.

       

    /

    返回文章
    返回