岩石不连续面内颗粒剪切力学性质的数值试验研究

    Numerical study on mechanical properties of grains in rock discontinuity undergoing shear

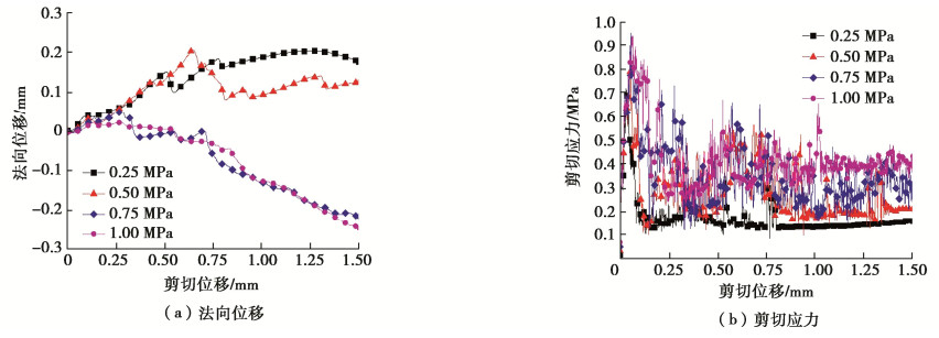
    • 摘要: 采用PFC研究不同法向应力下颗粒充填岩石不连续面的剪切力学性质,重点关注颗粒形状(以长、短半轴长比a/b表示)和组合方式的影响。结果表明:①单颗粒的剪切运移和破坏可归纳为滚动、滚动-滑动、压碎-滚动运移和碾碎、滚动-压碎破坏5类,取决于法向应力和颗粒形状,不同破坏类型下微裂纹演化特征明显不同;颗粒的破碎程度整体随法向应力的增加而增加,随a/b的增加而降低,不连续面壁磨损程度随法向应力和a/b的增加而增加;张拉裂纹是引起颗粒及不连续壁面破坏的主要原因;颗粒破碎后形成的碎屑混合物的尺寸分布可用幂指数(或分形维数)D表征,D越小,颗粒破碎程度越低。②充填同种形状的双颗粒时,颗粒及不连续面壁表面的细观粗糙度是造成剪切力学性质差异的主要原因;充填不同形状的双颗粒时,a/b较大的颗粒承担了更多的压剪荷载,破碎程度更高;颗粒间的摩擦也对其表面磨损及剪切运移破坏过程产生重要影响。③不连续面的平均摩擦强度与充填碎屑混合物的尺寸分布密切相关,a/b增大或法向应力减小导致生成的较大角砾状碎块数量增加,进而引起总体摩擦强度增加。提出了估算颗粒充填不连续面平均摩擦强度的经验关系式,并通过文献中的数据对该公式进行了初步验证。

       

      Abstract: The PFC is used to study the shear properties of infilled rock discontinuities, with emphasis on the effects of grain shape reflected by the ratio of major- to senior-axis (a/b) and combination. The results show that: (1) Grain movement and failure can be divided into five types, rolling, rolling-sliding, crushing-rolling, comminuting and rolling-crushing, depending on the normal stress and grain shape, and the microcrack evolution is different under each failure mode. The fragmentation degree of grains increases with the increasing normal stress on the whole, while it decreases with the increasing a/b. The abrasion of the discontinuity walls is more serious at higher normal stress and a/b. The tension microcracks are the dominant failure for the grains and discontinuity walls. The size distribution of clastic mixtures formed after grain crushing can be described by a power law exponent or fractal dimension D. The smaller the value of D, the lower the fragmentation degree. (2) When the shapes of the double infilled grains are identical, the surface micro-roughness affects the shear properties to a large extent. When they are different, the grains with higher a/b afford more compression and shear loads, resulting in a higher fragmentation degree. The friction between two grains also affects its surface abrasions and shear movement and failure processes. (3) The average frictional strength of infilled rock discontinuities is related to the size distribution of the clastic mixture. As a/b increases or normal stress decreases, the content of large angular fragments increase, which further leads to the increase in the overall frictional strength. An empirical formula for predicting average friction strengths of rock discontinuities infilled with grains is proposed and is preliminarily validated through the data in the literatures.

       

    /

    返回文章
    返回