砂土中水泥土复合管桩震动响应试验研究

    Seismic responses of pipe piles improved with cement-treated soil in sand

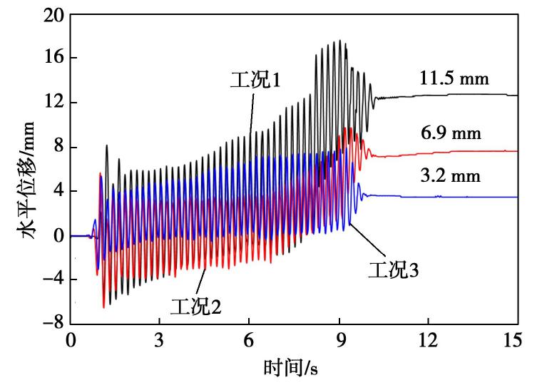
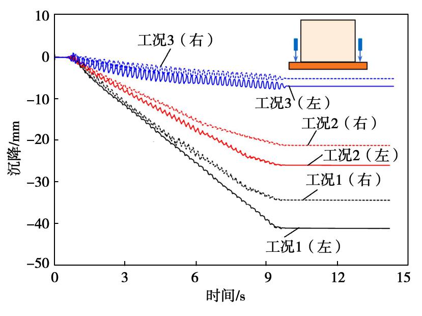
    • 摘要: 为揭示水泥土加固对预制混凝土管桩震动响应的影响,开展了可液化砂土中水泥土复合管桩群桩基础的振动台模型试验。结果表明:采用水泥土加固可使群桩基础周围土层中超孔压比的减少达23.3%;地基液化前,水泥土加固场地的加速度响应低于未加固场地,而液化后未加固场地的加速度衰减更为明显;水泥土复合管桩工况中桩顶结构的侧向位移和筏板沉降较未加固的管桩工况均大幅减少,水泥土加固深度越大则减少幅度越明显;水泥土加固可有效抑制其加固深度范围内桩身截面弯矩的增长,但不同水泥土加固深度下桩身出现动弯矩峰值的位置不同。

       

      Abstract: To reveal the effects of cement-treated soil reinforcement on the seismic resistance of precast concrete pipe piles, the shaking table tests on pipe-pile groups improved with cement-treated soil in liquefiable sand are carried out. The results illustrate that the excess pore pressure ratios of soils around the piles are reduced by about 23.3% due to the cement-treated soil reinforcement. Before liquefaction, the acceleration responses of the soils around the piles improved with cement-treated soil are lower than those the in pipe piles. However, the attenuation of acceleration in the pipe pile tests is more obvious after soil liquefaction. The lateral displacement of the pile-head and the settlement of the raft in case of the pipe piles improved with cement-treated soil are greatly reduced due to the presence of cement-treated soil. Moreover, the larger the depth of cement-treated soil, the more significant the decrease in lateral displacement and settlement. The cement-treated soil can effectively restrain the increase of bending moment of the piles in the range of cement-treated depth. However, the location of the maximum moment in the piles is different under various depths of cement-treated soil.

       

    /

    返回文章
    返回