加筋材料改良黄土强度特性的试验研究

    Experimental study on strength characteristics of geogrid-reinforced loess

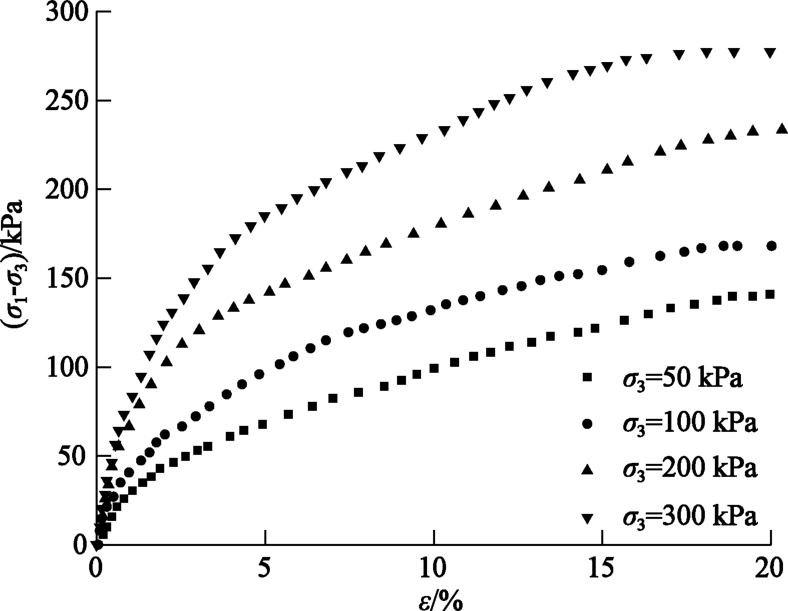
    • 摘要: 对土工格栅加筋重塑黄土进行三轴固结不排水剪切试验,探讨了加筋层数与加筋方式对黄土强度特性的影响。试验结果表明,黄土试样在经过水平加筋后强度提升,倾斜加筋后强度下降。水平加筋时,土样强度会随着加筋层数的增多而增加,存在一个最优加筋层数(间距),当超过这一加筋层数时,土体强度改善效果不明显;倾斜加筋时,加筋角度为0°时,黄土试样的抗剪强度最大,当加筋倾角接近于45°+φ/2时,试样的抗剪强度最小。筋材的作用在黄土试样轴向应变达到3%~5%左右时才体现出来,说明只有当达到足够大的变形条件时,筋材才会发挥其抗拉伸力从而起到提升土体抗剪强度的作用。

       

      Abstract: A series of consolidated undrained shear tests are carried out on geogrid-reinforced remolded loess samples, the effects of geogrid layers and reinforcement method on the strength characteristics of loess are investigated.The test results show that the loess strength increases under horizontal reinforcement layers, however, it decreases under inclined reinforcement condition.In case of horizontal reinforcement, the strength of the loess will increase as the reinforcement layers increase, moreover, there is an optimal reinforcement layer(reinforcement spacing), when the optimal layer is exceeded, the improvement effect is inconspicuous.The inclined reinforcement tests show that when the reinforcement angle is 0°, the loess sample shows the largest shear strength, however, the smallest strength is observed while the inclination angle of reinforcement reaches 45°+φ/2.The reinforcement effect will only play a role when the axial strain of the loess sample reaches about 3%~5%, indicating that a sufficient deformation condition is required to improve the strength of the soil, in this case, the reinforced material will show its stretchability to improve the shear strength of the soil.

       

    /

    返回文章
    返回