非饱和黄土的增湿湿陷变形特性分析

    Wetting deformation properties of unsaturated collapsible loess

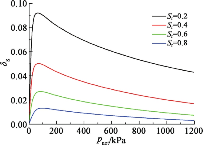
    • 摘要: 在非饱和土力学的框架下对非饱和黄土的增湿变形行为进行了研究。基于粒间吸应力表示的非饱和土有效应力原理,建立了非饱和黄土增湿变形的本构模型,通过理论分析,给出了加载增湿屈服函数的积分表达式以及黄土湿陷性系数的显式计算公式。结合原状非饱和黄土的试验数据,分析了不同水力路径下的湿陷变形特性,并探讨了湿陷性系数的变化规律。结果表明,提出的模型能够很好地揭示非饱和黄土湿陷变形的力学机制,可为黄土增湿变形特性的研究和工程应用提供一定的参考价值。

       

      Abstract: The wetting deformation behavior of unsaturated loess is studied under the framework of unsaturated soil mechanics.Based on the principle of effective stress of unsaturated soil is expressed by intergranular attraction, a constitutive model for wettig deformation of unsaturated loess is established.Through theoretical analysis, the integral expression for the yielding function of loading-wetting and the explicit formula for collapsibility coefficient of loess are given.Combined with the experimental data of undisturbed unsaturated loess, the characteristics of collapsing deformation under different hydraulic paths are analyzed, and the variation law of collapsibility coefficient is discussed.The results show that the model can well reveal the mechanical mechanism of deformation of unsaturated collapsible loess, and can provide some reference value for the researches on wetting deformation properties of loess and engineering application.

       

    /

    返回文章
    返回