黄土强度及结构的各向异性研究

    Strength and structural anisotropy of loess

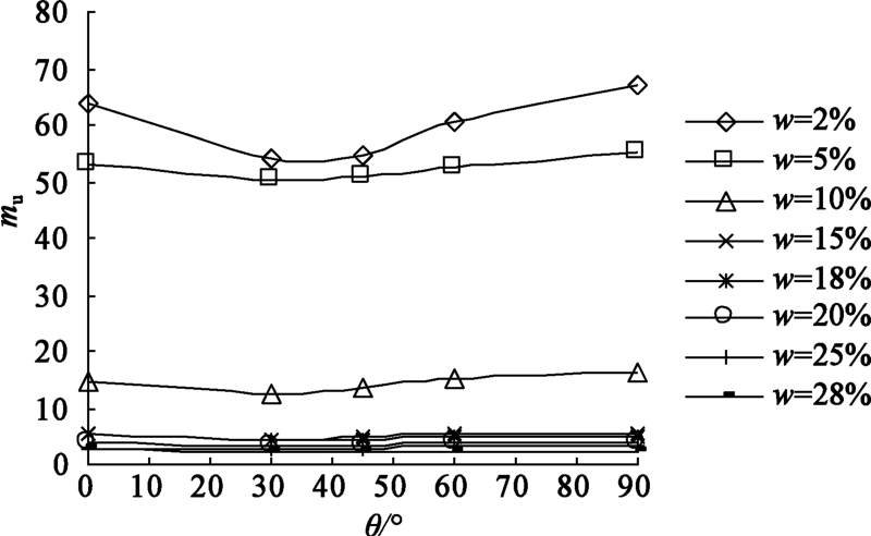
    • 摘要: 原状黄土是一种具有各向异性的结构性土,其各向异性对受力状态较为复杂的边坡和隧道及地下结构等工程的稳定性影响较大。为研究黄土强度与结构的各向异性,对不同取土角度(0°,30°,45°,60°,90°)不同含水率的原状、重塑黄土试样进行了无侧限抗压强度试验,获得了相应试样的无侧限抗压强度,并计算得到其初始结构性指标。分析黄土的无侧限抗压强度、结构性指标与取土角度、含水率的关系,结果表明:在试验的取样角度为90°时,黄土的强度与结构性最强;30°时,黄土的强度与结构性最弱;含水率越低,强度与结构性越强,随着含水率的增大,原状黄土的强度与结构性的各向异性逐渐减弱,饱和时最低。

       

      Abstract: Undisturbed loess is the structural soil with anisotropy, and its anisotropy has great influences on the stability of slopes, tunnels and underground structures with complex stress state.To study the strength and structural anisotropy of loess, the unconfined compressive strength tests are carried out on the undisturbed and remolded loess samples with different sampling angles(0°, 30°, 45°, 60°and 90°)and different water contents, and the unconfined compressive strength of the corresponding specimens are obtained.The initial structural parameters are calculated.The relationship among the unconfined compressive strength, structural index, soil sampling angle and water content of loess is analyzed.It is found that the strength and structure of loess are the strongest when the sampling angle is 90°and the weakest when the sampling angle is 30°in the tests.The lower the water content, the stronger the strength and structure.With the increase of the water content, the strength and structural anisotropy of undisturbed loess decrease gradually and are the lowest at saturation.

       

    /

    返回文章
    返回