K0固结珊瑚砂的应力-应变模型及变形参数研究

    Stress-strain model and deformation parameters of K0-consolidated coral sand

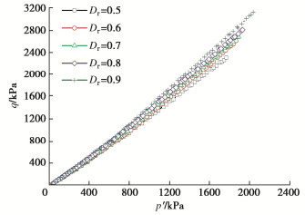
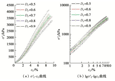
    • 摘要: 珊瑚砂作为岛礁吹填地基的填料,在填筑期的应力路径具有K0固结的特点。利用三轴试验系统对不同初始相对密度的珊瑚砂进行了一系列的K0固结试验,研究了珊瑚砂的应力–应变特性,测试了珊瑚砂的K0系数和颗粒破碎率。基于广义虎克定律,建立了幂函数形式的非线性弹性模型来描述K0固结珊瑚砂的应力–应变关系,提出了变形参数的函数表达式,并将模型计算结果与试验曲线进行了对比。结果表明:K0固结珊瑚砂的应力-应变关系可用幂函数表示。随着轴向有效应力的增加,K0减小,颗粒破碎率增大。在相同的轴向有效应力条件下,珊瑚砂的初始相对密度越小,K0越大,颗粒破碎率越高。在K0状态下,随着轴向有效应力的增加,珊瑚砂的切线模量增加,切线泊松比减小。珊瑚砂的初始相对密度越大,相同轴向有效应力下的切线模量越大,切线泊松比越小。幂函数模型合理地预测了一定应力范围内K0固结珊瑚砂的应力–应变关系,模型及变形参数反映了K0固结的应力路径对应力–应变关系的影响。

       

      Abstract: The stress path followed by soil consolidation in the hydraulic filling site where the coral sand is used as the filling materials is characterized by K0-consolidation. In order to investigate the stress-strain behaviors of the K0-consolidated coral sand, a series of K0-consolidation tests in a triaxial cell are carried out for the coral sands with different initial relative densities. The K0-values of the coral sands are measured and their particle breakage indexes are evaluated. Based on the generalized Hooke's law, a nonlinear elastic model in the form of a power function is proposed to describe the stress-strain relationship of the K0-consolidated coral sand. The functional expressions for the deformation parameters are presented, and the calculated results of the model are compared with the test curves. The results show that the stress-strain relationship of the K0-consolidated coral sand may be expressed by a power function. With the increase of the axial effective stress, the K0-value decreases, and the particle breakage index increases. Under the same axial effective stress, a small initial relative density corresponds to a large K0-value and a large particle breakage index. As the increase of the axial effective stress in the K0-state, the tangent modulus of the coral sand increases, and the tangent Poisson's ratio decreases. Under the same axial effective stress, the larger the initial relative density, the larger the tangent modulus, and the smaller the tangent Poisson's ratio. The stress-strain relationship of the K0-consolidated coral sand with different initial relative densities within a certain stress range is reasonably predicted by the power function model. The model and deformation parameters reflect the influence of the stress path of K0-consolidation on the stress-strain relationship.

       

    /

    返回文章
    返回