考虑非饱和渗透系数随机场统计特征的库岸老滑坡稳定性分析

    Stability analysis of old reservoir bank landslide by considering spatial random field characteristics of unsaturated hydraulic conductivity

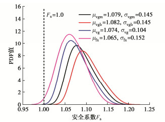
    • 摘要: 库岸边坡如果在历史上发生过滑坡灾害,计算所得的安全系数将略高于临界状态值1.0,仅以安全系数评价库岸老滑坡的稳定性,将导致预测结果与边坡稳定状态不相符合。提出以土水特征曲线和非饱和渗透系数为核心的水力参数联合随机(场)统计特征为基础,建立库岸边坡稳定性的可靠度分析方法。首先根据有限的室内土水特征关系试验数据,采用贝叶斯理论校准土水特征曲线VGM、VGB、VG和FX模型参数的随机统计特征,并得到模型备选组合的概率。其次根据饱和渗透系数的随机场统计特征,联合土水特征曲线的随机统计特征,生成库岸边坡非饱和渗透系数的随机场空间分布。最后分析仅考虑土水特征曲线随机统计特征的库岸边坡稳定性失效概率,以及综合考虑非饱和渗透系数随机场统计特征的可靠指标。针对三峡库区石榴树包老滑坡在2020年强降雨和长江水位快速升降的工程背景,开展考虑渗流作用的非饱和土边坡稳定性可靠度分析。研究结果表明,虽然边坡稳定性的安全系数较低,但是可靠指标满足规范不小于2.70的要求,无需采取额外的边坡工程加固措施,建议继续开展边坡的长期健康监测。

       

      Abstract: If a reservoir bank landslide happenes in the history, the factor of safety of slope stability will approach the critical value 1.0, which cannot indicate the realistic stable situation of the reservoir bank slope. Based on the combined random (field) statistical characteristics of the hydraulic parameters, which consist of the soil-water characteristic curve (SWCC) and the saturated hydraulic conductivity, a reliability analysis method for the old reservoir bank landslide is established. Firstly, according to the limited laboratory test data of saturation-matrix suction, the statistical characteristics of the SWCC properties, such as VGM, VGB, VG, and FX model parameters, are calibrated by the Bayesian method, and the applied probabilities of SWCC model combination are determined through the laboratory measurements. Secondly, combining the random field characteristics of the saturated hydraulic conductivity with the random characteristics of the SWCC models, the spatial distributions of the unsaturated hydraulic conductivity are generated in the slide body. Finally, the reliability analysis will calculate the failure probability of the old reservoir bank landside only considering the random characteristics of the SWCC models, and the reliability index results of the spatial random field statistical characteristics of the unsaturated hydraulic conductivity. Under the conditions of heavy rainfall and rapid rise and fall of the Yangtze River water level in 2020, the reliability analysis of the old Shiliushubao landslide is carried out in the Three Gorges Reservoir area. The results indicate that the factor of safety of the slope stability is low, but the reliability index meets the minimum requirement of 2.70 according to the specification. None of the additional reinforcement measures are required. Nevertheless, the long-term slope monitoring program is suggested to be continued.

       

    /

    返回文章
    返回