横观各向同性非饱和土的增量非线性本构模型及参数变化规律研究

    Incremental nonlinear constitutive model and parameter variation of transversely isotropic unsaturated soils

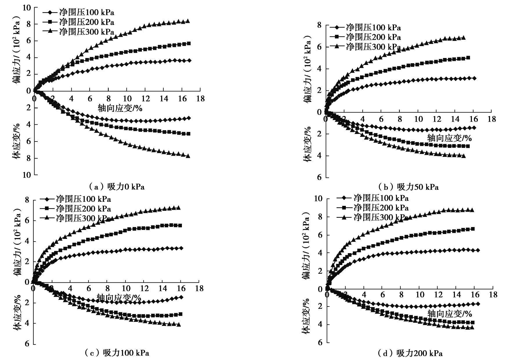
    • 摘要: 为了建立能同时反映成层地基土横观各向同性和非饱和特性的本构模型,通过理论分析和系统的室内试验,对横观各向同性非饱和土的力学特性和本构模型做了深入系统的研究。首先,以非饱和土力学和弹塑性理论为基础,建立了横观各向同性非饱和土的增量非线性本构模型;其次,进行了多种应力路径的非饱和土三轴试验,揭示了横观各向同性非饱和土的力学特性与水量变化特性;再次,分析研究了模型参数随应力状态的变化规律,提出了相应的数学表达式;最后,通过不同条件的非饱和土试验,初步验证了本文所建立本构模型的合理性。研究成果可为天然成层地基和大面积填土工程设计提供科学依据和理论支持,丰富和发展非饱和土的本构模型。

       

      Abstract: In order to establish the constitutive model that can simultaneously reflect the unsaturated state, transverse isotropy and nonlinearity of soils, the mechanical properties and constitutive models of unsaturated transverse isotropic soils are systematically studied. First, an incremental nonlinear transverse isotropic constitutive model for unsaturated soils is established based on the theories of unsaturated soil mechanics and elasticoplasticity. Next, the triaxial tests on unsaturated soils with various stress paths are carried out, revealing the deformation strength characteristics and water volume variation characteristics of unsaturated transverse isotropic soils. Again, the variation laws of model parameters with stress state are analyzed, and the corresponding mathematical expressions are put forward. Finally, the variation laws of model parameters with stress state are analyzed, and the corresponding mathematical expressions are put forward. The research results can provide scientific basis and theoretical support for the design of natural layered foundations and large-area filling projects. The research enriches and develops the constitutive model theories of unsaturated soils.

       

    /

    返回文章
    返回