主应力轴旋转条件下冻结黏土累积塑性应变与临界动应力特性研究

    Characteristics of cumulative plastic strain and critical dynamic stress of frozen clay under principal stress rotation

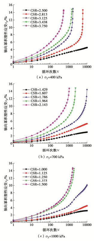
    • 摘要: 冻土作为寒区工程的基础和人工冻结工程的支护壁,经常承受动荷载的扰动,研究其在动荷载作用下累积塑性应变和临界动应力特性,可为寒区工程和人工冻结工程变形控制和稳定评价提供重要参考。为揭示主应力轴旋转对冻结黏土累积塑性应变和临界动应力特性影响,采用冻土空心圆柱仪进行了一系列考虑围压影响的动三轴试验和纯主应力轴旋转试验,分析了冻结黏土累积塑性应变、累积塑性应变率和临界动应力特征变化。研究表明,冻结黏土试样轴向累积塑性应变随着循环次数的增多而增大,围压的增大则会抑制冻结黏土轴向累积塑性应变发展速度,而主应力轴旋转效应会加快冻结黏土轴向累积塑性应变发展速度。冻结黏土轴向累积塑性应变率呈现3种不同变化趋势,提出了基于累积塑性应变速率判别的冻结黏土塑性变形行为划分准则,并建立了冻结黏土塑性安定和塑性蠕变临界动应力表达式,证实了主应力轴旋转条件下冻结黏土临界动应力显著降低。研究结果对冻土工程的设计、施工、稳定评价和寒区资源开发都具有重要的指导意义。

       

      Abstract: As the foundation of cold region projects and the supporting wall of artificial freezing projects, the frozen soil often bears the disturbance of dynamic loads. Studying the cumulative plastic strain and the critical dynamic stress under the dynamic loads provide an important reference for the deformation design and stability evaluation of the cold region and artificial freezing projects. To reveal the influences of the principal stress rotation on the cumulative plastic strain and the critical dynamic stress characteristics of the frozen clay, a series of dynamic triaxial tests and pure principal stress rotation tests considering the influences of confining pressure are carried out by FHCA-300, and the characteristics of the cumulative plastic strain, the cumulative plastic strain rate and the critical dynamic stress of the frozen clay are analyzed. The results show that the axial cumulative plastic strain of the frozen clay increases with the increase of cycles, the increase of the confining pressure will restrain the development of its axial cumulative plastic strain, and the principal stress rotation will accelerate the development of its axial cumulative plastic strain. The evolution of the axial cumulative plastic strain rate of the frozen clay shows three different trends. The division criterion of plastic deformation behavior of the frozen clay based on the cumulative plastic strain rate is proposed, and the expressions for the critical dynamic stress of the plastic shakedown and plastic creep of the frozen clay are established. It is confirmed that the critical dynamic stress of the frozen clay decreases significantly under the rotation of the principal stress axis. The research results are of important guiding significance for the design, construction and stability evaluation of the frozen soil projects and the development of the resources in cold regions.

       

    /

    返回文章
    返回