超低温冻结黏土单轴抗压力学性质试验研究

    Experimental study on uniaxial compressive strength of ultra-low temperature frozen clay

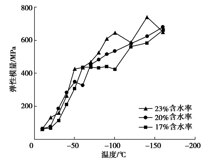
    • 摘要: 地下交通、煤炭开采等工程常遇砂土交错和地下水极为丰富的软弱地层施工难题,可利用液氮使土体处在超低温冻结状态以达到土层稳定和加固的目的,因此,探究超低温冻土的抗压强度对于工程施工的长期稳定和安全具有重要意义。为揭示超低温冻结黏土单轴抗压力学性质变化规律,对含水率为17%,20%,23%的土样进行-10℃~-180℃的单轴压缩试验。结果表明:冻土温度高于-80℃时,呈弹塑性破坏,低于-80℃时,呈脆性破坏;冻土抗压强度随温度降低,先呈线性增加,当温度低于-80℃后强度基本稳定,并对温度与冻土抗压强度进行拟合,拟合效果较好;含水率在17%~23%,冻土抗压强度随含水率增加而增大,冻土弹性模量随温度降低呈上升趋势,且含水率越高弹性模量越大。最后,对比分析了4种应力-应变方程对超低温冻土关系的适用性,发现幂函数和双曲线公式拟合超低温冻土应力-应变关系精度较低,拟合效果并不理想;复合幂指数模型对弹塑性破坏过程拟合精度较好,并能准确地描述该过程的屈服和破坏情况,但对于脆性破坏段的应力-应变曲线并不适应,因此该模型有一定的局限性;黏弹塑性方程对冻土应力-应变关系拟合精度最好,后引入温度函数,改进黏弹塑性方程,提出与冻土温度有关的复合型方程,该方程拟合精度更高,补充了超低温冻土应力应变方程理论,可以为实际工程提供理论参考。

       

      Abstract: Underground transportation, coal mining and other projects often encounter the construction problems of sandy soil crisscross and extremely rich groundwater in soft soil strata. Liquid nitrogen can be used to make the soil in the ultra-low temperature freezing state achieve the purpose of soil stability and reinforcement. Therefore, it is of great significance to explore the compressive strength of the ultra-low temperature frozen soil for the long-term stability and safety of engineering construction. In order to reveal the variation of uniaxial compressive properties of ultra-low temperature frozen clay, the uniaxial compression tests at -10°C to -180℃ are carried out on the soil samples with moisture contents of 17%, 20% and 23%. The results show that when the temperature of frozen soil is higher than -80℃, elastic-plastic failure occurs. When the temperature is lower than -80℃, shows brittle failure. As the temperature decreases, the compressive strength of frozen soil increases linearly first. When the temperature is lower than -80℃, the strength is basically stable, and the temperature is fitted by the compressive strength of frozen soil, and the fitting effect is good. When the moisture content is 17%~23%, the compressive strength of frozen soil increases with the increase of water content, and the elastic modulus of frozen soil increases with the decrease of temperature. Finally, the applicability of four kinds of stress-strain equations to the relationship of the ultra-low temperature frozen soil is compared and analyzed. It is found that the accuracy of the power function and hyperbolic formula to fit the stress-strain relationship of the ultra-low temperature frozen soil is low, and the fitting effect is not ideal. The composite power exponent model has a good fitting accuracy for the elastic-plastic failure process, and can accurately describe the yield and failure of the process, but it is not suitable for the stress-strain curve of brittle failure section, so the model has some limitations. The viscoelastic plastic equation has the best fitting accuracy for the stress-strain relationship of frozen soil. Then the temperature function is introduced to improve the viscoelastic plastic equation, and a composite equation related to the temperature of frozen soil is proposed. The fitting accuracy of the equation is higher, which improves the theory of stress-strain equation of the ultra-low temperature frozen soil, and can provide theoretical reference for practical projects.

       

    /

    返回文章
    返回