不同温度下水化针刺GCL+GM复合衬里的剪切特性

    Shear characteristics of hydrated needle-punched GCL+GM composite liners at different temperatures

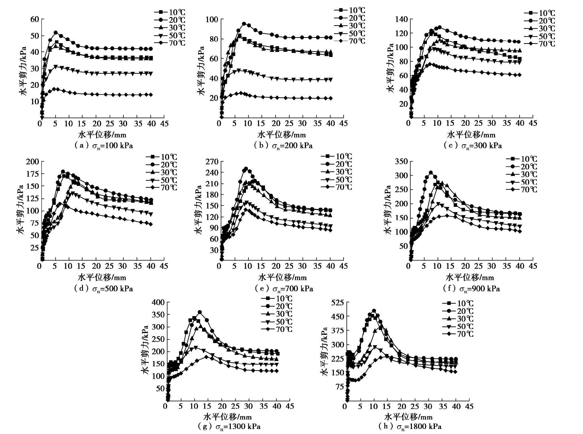
    • 摘要: 针刺GCL和糙面土工膜(GM)组成的复合防渗衬里应用广泛,其在用于处置矿物冶炼废物或固体废弃物等情况时可能面临变化的温度环境。针对复合衬里剪切强度的温度效应问题,利用大尺寸温控水浴直剪仪对水化针刺GCL+GM复合衬里开展了不同温度下不限定剪切破坏面的整体剪切试验。获得了复合衬里在10℃~70℃温度范围内的剪切强度,揭示了复合衬里在不同水化温度条件和法向应力下的剪切破坏特征。试验结果表明:复合衬里的应力位移曲线在所有测试温度下都表现出明显的峰值和后峰值软化现象;复合衬里的峰值剪切强度和大位移抗剪能力均在接近室温的20℃条件下达到最大值,升高或降低温度都将使得复合衬里的剪切强度出现明显减小;温度环境的改变对复合衬里的剪切强度和破坏模式影响显著,温度效应对含土工合成材料边坡稳定安全的影响应引起重视。

       

      Abstract: The composite liner consisting of needle-punched GCL and textured geomembrane (GM) is widely used, and changing temperature environment can be encountered when it is used to deal with mining-smelting waste or municipal solid waste. Aiming at the temperature effect of the shear strength of the composite liner, the large-scale temperature-controlled water-bath direct shear apparatus is used to carry out the whole shear tests without pre-determined failure surface for the hydrated needle-punched GCL+GM composite liner at different temperatures. The shear strengths of the composite liner in the range of 10℃~70℃ are obtained, and the shear characteristics of the composite liner under different temperatures as well as normal stress are revealed. The test results show that obvious peak strengths and obvious post-peak softening phenomena occur at the stress–displacement curve at all the test temperatures. The peak shear strength and large-displacement shear resistance of the composite liner achieve the maximum value at the room temperature of about 20℃, and either increasing or decreasing temperature can cause obvious reduction in the shear strength of the composite liner. The change of temperature has a significant effect on the shear strength and failure modes of the composite liner, and accordingly attention should be paid to the temperature effect on the stability of slopes containing geosynthetics.

       

    /

    返回文章
    返回