不同膜厚复合土工膜的蠕变特性及模型研究

    Creep characteristics and model study of composite geomembrane with different film thicknesses

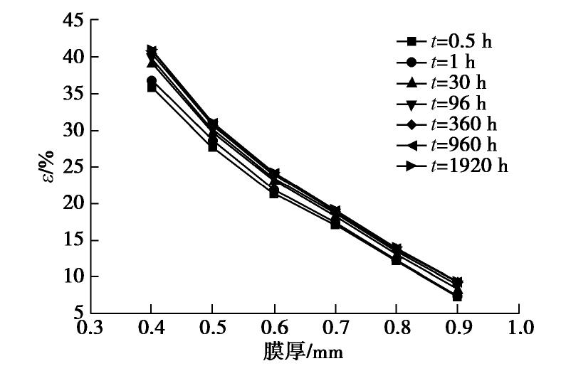
    • 摘要: 复合土工膜被广泛使用于土石坝中,其长期变形性能对结构安全及稳定性至关重要。通过长达90 d的蠕变试验,对比分析了复合土工膜在不同厚度下的蠕变规律,对典型的经验蠕变模型进行了归纳分类,综合蠕变试验结果,提出了基于厚度水平的经验蠕变模型,验证了其适用性与可靠性;通过理论分析,提出了三参数黏弹性本构模型,应用Marquardt优化迭代算法及全局最优化求解模型参数,论证其合理性。结果表明:荷载施加瞬时位移量迅速增加,并随时间的增加应变增量逐渐减小,最后趋于稳定;当荷载为膜厚0.4 mm最大拉伸荷载的60%时,膜厚每增加0.1 mm,长期稳定时应变降低约6%;提出基于厚度的经验蠕变模型可有效反映应变与时间的关系,初始阶段的拟合效果更好;黏弹性本构模型中,厚度较薄时kelvin体对变形的影响更大,厚度较厚时弹性系数E1对变形的发展发挥着主要作用,本构模型能够较准确的反映材料蠕变的最终应变量。经验蠕变模型与本构模型结合可较好的预测不同厚度水平下复合土工膜的整体变形。

       

      Abstract: Through 90 days of creep tests, the creep laws of composite geomembrane at different thickness levels are compared and analyzed. The previous typical creep models are classified and compared with the creep test results. An empirical creep model based on thickness level is proposed to verify its applicability and reliability. Based on the analysis of materials and creep data, a three-parameter viscoelastic constitutive model is proposed, and its rationality is demonstrated by using the Marquardt optimization iterative algorithm and the global optimization to solve model parameters. The results show that the composite geomembrane exhibits strong lateral contraction under the long-term tensile action of the load. The instantaneous displacement of the load increases rapidly, and the strain increment decreases with the increase of time, and finally tends to be stable. The strain of different film thicknesses is little affected by time. When the load level is 60%, every 0.1 mm increase in film thickness from 0.4 mm to 0.9 mm reduces the strain by about 6% in long-term stability. The empirical creep model based on thickness can effectively reflect the relationship between creep strain and time of two films, and the initial stage has better fitting effect. The three-parameter viscoelastic constitutive model is suitable for the attenuation creep curve and can accurately reflect the final strain of the materials in the creep stage.

       

    /

    返回文章
    返回