盐溶液饱和高庙子膨润土的强度特性

    Strength characteristics of GMZ bentonite saturated with salt solutions

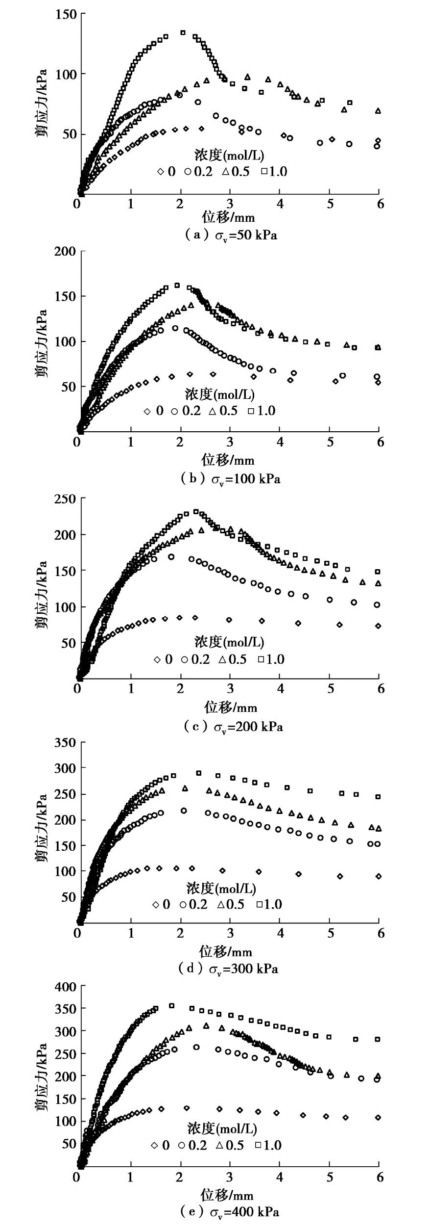
    • 摘要: 膨润土因具有高膨胀性、低渗透性、优良的核素吸附性等性质,被选作深层地质处置库的缓冲和回填材料。为研究围岩孔隙溶液对膨润土强度的影响,将GMZ07膨润土试样在不同浓度的Na2SO4溶液中饱和、固结后进行直剪试验,分析溶液浓度对GMZ07膨润土抗剪强度的影响。试验结果表明,随着盐溶液浓度的增加,膨润土试样的黏聚力及内摩擦角均增大,强度显著提高。在膨润土表面分形模型的基础上,引入考虑渗透吸力的修正有效应力对试验结果进行了解释。将通过修正有效应力计算得到的GMZ07膨润土在Na2SO4溶液中的抗剪强度与实测抗剪强度进行比较,二者基本吻合,验证了考虑渗透吸力的修正有效应力的正确性。

       

      Abstract: Bentonite is selected as a buffer and backfill material for deep geological repositories due to its high expansibility, low permeability, and excellent nuclide adsorptive. In order to study the effect of the pore solution of the surrounding rock on the strength of bentonite, GMZ07 bentonite specimens are saturated and consolidated in Na2SO4 solution with different concentrations for direct shear tests. The test results show that as the concentration of the salt solution increases, the cohesive intercept and internal friction angle of the bentonite sample increase, and the strength increases significantly. Based on the fractal model for bentonite surface, the modified effective stress that considers the osmotic suction is introduced to explain the test results. The shear strength of GMZ07 bentonite in Na2SO4 solution calculated by the modified effective stress is compared with the measured value, and the two are basically in agreement, which verifies the correctness of the modified effective stress considering the osmotic suction.

       

    /

    返回文章
    返回