不同应力路径下钙质砂力学特性的排水三轴试验研究

    Drained triaxial tests on mechanical properties of calcareous sand under various stress paths

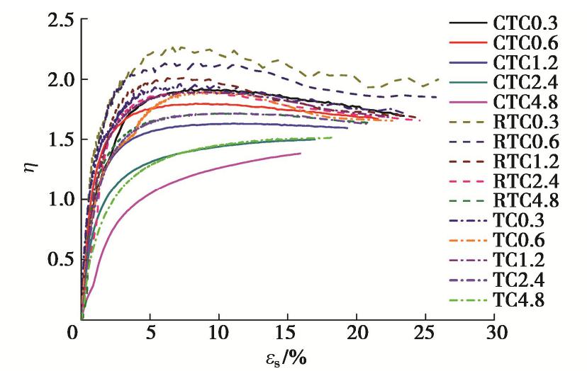
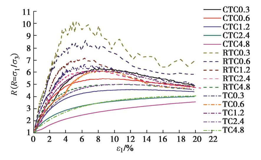
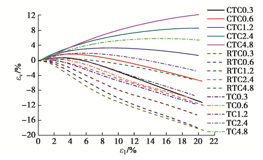
    • 摘要: 钙质砂的力学性质既有强度低、易破碎的特点,又有应力路径依附性的特性。为了研究不同应力路径对钙质砂的颗粒破碎和力学性质的影响,对不同固结压力的钙质砂进行了5种应力路径下的排水三轴压缩试验。结果表明:不同应力路径对钙质砂的应力–应变关系、抗剪强度和颗粒破碎特性有较大的影响。相同固结压力下,等轴向应力试验的剪胀现象最为明显,颗粒破碎率最小,峰值内摩擦角最大;等围压试验的剪胀现象最不明显,颗粒破碎率最大,峰值内摩擦角最小;等平均主应力试验的这些性质介于上述两种试验之间。等主应力比和等向固结试验在加载过程中主要表现为试样的体积压缩,因此与另外3种应力路径试验差别很大。不同应力路径对钙质砂应力–应变关系和强度的影响,除了砂土具有应力路径依附性的特性外,主要来自于应力路径和固结压力的不同产生的颗粒破碎程度不一致造成的影响,使得在不同的应力路径试验中钙质砂的力学性质表现出更大的差异。

       

      Abstract: The mechanical properties of calcareous sand are low in strength and easy to crush and have the characteristics of stress path dependence. In order to study the effects of different stress paths on the particle crushing and mechanical properties of calcareous sand, a series of drained triaxial compression tests under five stress paths are carried out on calcareous sand with different consolidation pressures. The results show that the stress path has a great influence on the stress-strain relationship, shear strength and particle breakage of the calcareous sand. Under the same consolidation pressure, the dilation phenomenon is obvious in the constant axial stress tests where the particle breakage index is the smallest, and the peak internal friction angle is the largest. The dilation phenomenon is less noticeable in the constant confining pressure tests with the largest particle breakage index and the smallest peak internal friction angle. These properties of the constant average principal stress tests are in between the above tests. The isotropic principal stress ratio tests and the isotropic stress consolidation tests mainly show the volume compression of samples during loading, so they are very different from the other three stress path tests. The influence factors of different stress paths on the stress-strain relationship and strength of calcareous sands, in addition to the characteristics of sands with stress path dependence, mainly come from the effects of inconsistent particle breakage caused by different stress paths and consolidation pressures. This is why the mechanical properties of the calcareous sand show great differences in the tests with different stress paths.

       

    /

    返回文章
    返回