基于自然应变损伤模型的膨胀土冻融损伤分析

    Freeze-thaw damage analysis of expansive soils based on natural strain damage model

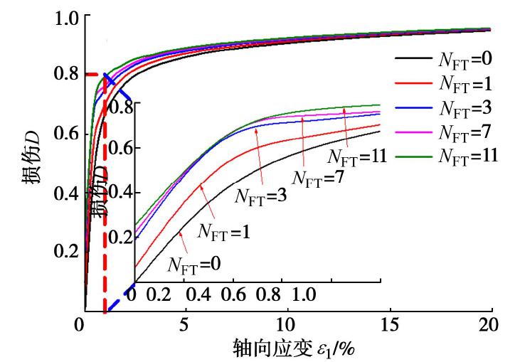
    • 摘要: 膨胀土的定量冻融损伤分析对于寒区工程具有重要的实际意义。针对土体损伤模型研究中应变模型选择不合理的问题,引入自然应变的概念,基于Weibull统计理论和应变等价原理,构建了自然应变损伤模型,通过遗传算法,进一步实现模型参数的全局寻优功能。通过已有膨胀土冻融循环后的试验数据,对损伤模型进行验证,并进一步开展了膨胀土的冻融损伤分析,对非损伤变形和损伤变形进行区分,进一步验证了损伤模型的合理性。研究结果表明:自然应变损伤模型可高精度的模拟膨胀土不同冻融循环作用后的应力应变曲线,初始刚度和宏观强度等指标与冻融循环次数呈负指数关系,且非损伤变形和损伤变形与侧限压缩试验曲线和三轴压缩曲线具有较好的对应性。

       

      Abstract: The quantitative freeze-thaw damage analysis of expansive soils is of great practical significance for engineering in cold regions. In view of the unreasonable selection of strain model in the existing researches on soil damage model, the concept of natural strain is introduced. Based on the theory of Weibull statistics and strain equivalence, a natural strain damage model is constructed. Through genetic algorithm, the global optimization function of model parameters is further realized. With the test data of expansive soils after freeze-thaw cycles, the damage model is verified, and the freeze-thaw damage analysis of expansive soils is further carried out. The non-damage deformation and damage deformation are distinguished to further verify the rationality of the damage model. The results show that the natural strain damage model can simulate the stress-strain curve of expansive soils after different freeze-thaw cycles with high accuracy. The initial stiffness and macro-strength have negative exponential relationship with the number of freeze-thaw cycles, and the non-damage deformation and damage deformation have good correspondence with the test curves of lateral compression and triaxial compression.

       

    /

    返回文章
    返回