黏粒含量对细粒尾矿物理力学性质的影响

    Effects of clay content on physical and mechanical properties of fine tailings

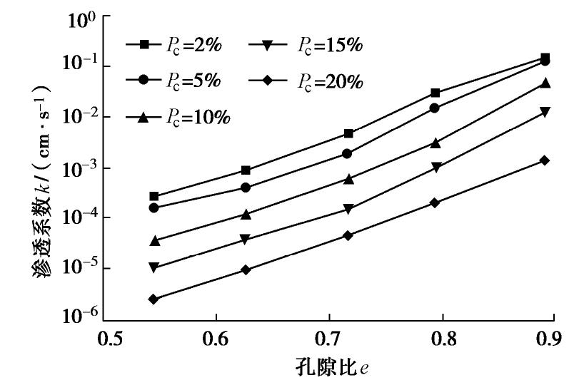
    • 摘要: 随着选矿技术的进步,尾矿粒径越来越小,其中黏粒占比也逐渐增多,因此,研究黏粒含量对细粒尾矿物理力学特性的影响就变得尤为紧迫和必要。通过一系列物理力学试验,研究黏粒含量对细粒尾矿物理特性、渗透特性、压缩特性、剪切特性和动力特性的影响。试验结果表明:随黏粒含量的增大,Cu显著增大,Cc变化不明显,液限、塑限和塑性指数都有所增大;黏粒含量增多,渗透系数随之减小,压缩性则呈先增大后减小趋势;黏聚力随黏粒含量的增加持续增大,而内摩擦角持续减小;黏粒含量对细粒尾矿液化的影响为先促进后抑制,且在10%时最容易发生液化破坏。随黏粒含量增加,动剪切模量先减小后增大,阻尼比先增大后减小。说明黏粒含量对细粒尾矿的物理力学性质有显著影响,在工程中应予以充分重视。

       

      Abstract: With the progress of beneficiation technology, the size of tailings is getting smaller, and the proportion of clay is gradually increasing. Therefore, it is particularly urgent and necessary to study the influences of clay content on the physical and mechanical characteristics of fine tailings. Through a series of physical and mechanical experiments, the effects of clay content on the physical characteristics, permeability characteristics, consolidation characteristics, shear characteristics and dynamic characteristics of fine tailings are studied. The test results show that as the clay content increases, Cu increases significantly, while Cc does not change significantly, and liquid limit, plastic limit and plastic index all increase. As the content of clay particles increases, the permeability coefficient decreases, and the compressibility first increases and then decreases. Cohesion keeps increasing with the increase of clay content, while the internal friction angle keeps decreasing. The effects of clay content on liquefaction of fine tailings are to promote first and then inhibit, and liquefaction damage is most likely to occur at 10%. As the clay content increases, the dynamic shear modulus decreases first and then increases, and the damping ratio increases first and then decreases. It is shown that the clay content has a significant effect on the physical and mechanical properties of fine tailings, and it should be paid full attention to in engineering.

       

    /

    返回文章
    返回