考虑桩土局部分离的单桩水平瞬态响应分析

    Horizontal transient response analysis of single pile considering local separation of pile and soil

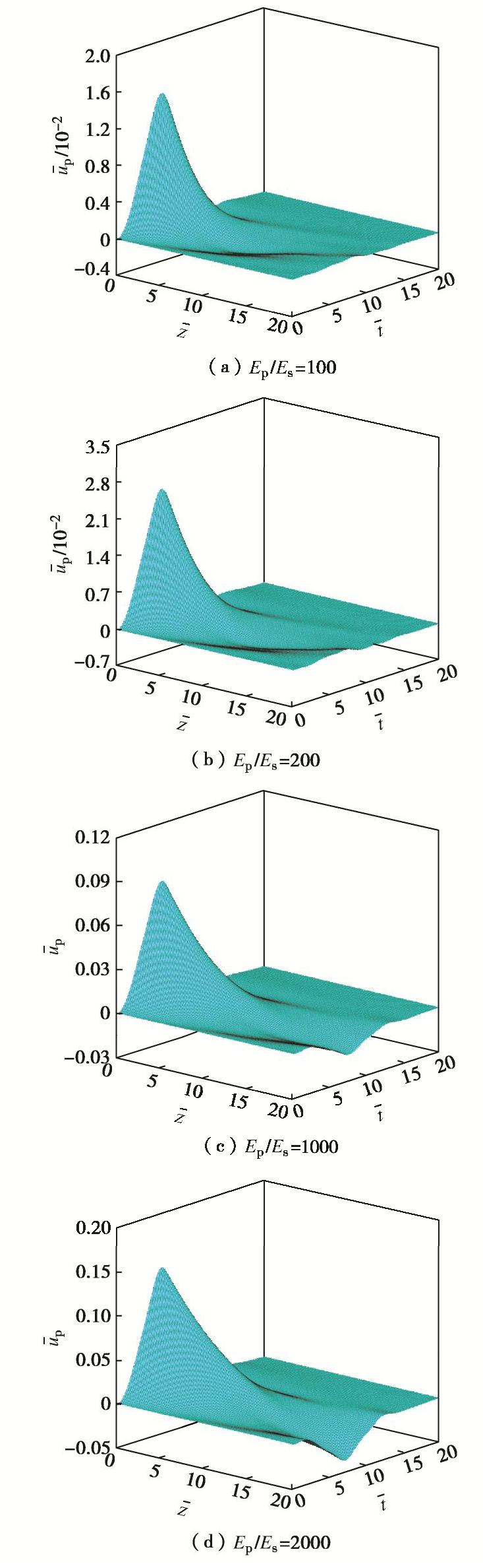
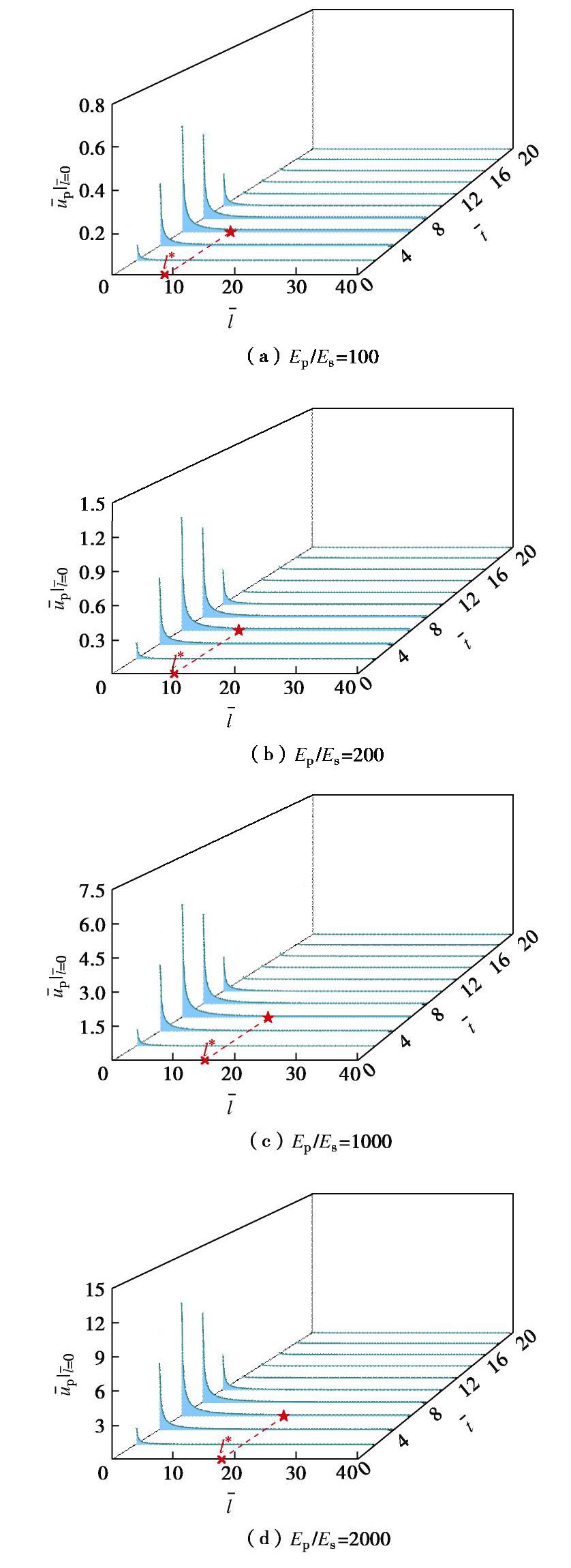
    • 摘要: 基于Novak薄层单元法和辐射应力理论,引入势函数解耦土体运动方程,结合桩土接触面混合边界条件,推导了Laplace域内桩、土位移的辐射应力解。引入Laplace数值逆运算的Durbin算法及基于EPAL的加速收敛算法,得到了时域上桩、土位移的瞬态响应。将计算结果与采用有限元法、边界元法和连续介质解的结果进行了对比,验证了考虑桩土分离的必要性和本文方法的有效性,并分析了桩土局部分离特性对桩和桩周土动力响应的影响。此外,通过参数分析,研究了考虑桩土局部分离时,桩土模量比和桩身长径比对桩身位移瞬态响应的影响。结果表明:桩土局部分离特性对桩身位移响应幅值和桩周土位移场分布影响显著,且对桩身位移响应在不同桩土模量比作用下的变化规律有一定的影响。桩土模量比对桩身位移响应影响较为显著,桩身长径比较小时,长径比对桩顶位移响应影响较大。

       

      Abstract: Based on the Novak’s thin layer element method and the theory of radiant stresses, the radiation stress solution to the displacements of pile and soil in the Laplace domain is derived. The potential function is introduced to decouple the governing equation for soil considering the mixed boundary conditions on the pile-soil interface. The Durbin algorithm and the accelerated convergence algorithms of Laplace numerical inverse operation are used to resolve the transient response in time domain. Compared with those of the continuous solution, finite element and boundary element methods, the validity and reliability of the radiation stress solution are verified, and the influences of the local separation characteristics on the dynamic response of the pile and the soil are analyzed. The parametric studies are carried out, and the effects of the modulus ratio of pile and soil and the slenderness ratio of pile on the transient response of pile under horizontal impact loads are studied. It is shown that the local separation characteristics of the pile-soil interface have a significant influence on the magnitude of the pile displacement and the distribution of the displacement field of the soil around the pile. Moreover, it has certain influences on the variations of displacement response of pile under different modulus ratios between the pile and the soil. The displacement of pile is significantly affected by the modulus ratio and also greatly affected by the slenderness ratio when the value of slenderness ratio is small.

       

    /

    返回文章
    返回