残积土孔内剪切试验的强度特性及广义邓肯–张模型研究

    Mechanical properties and generalized Duncan-Chang model for granite residual soils using borehole shear tests

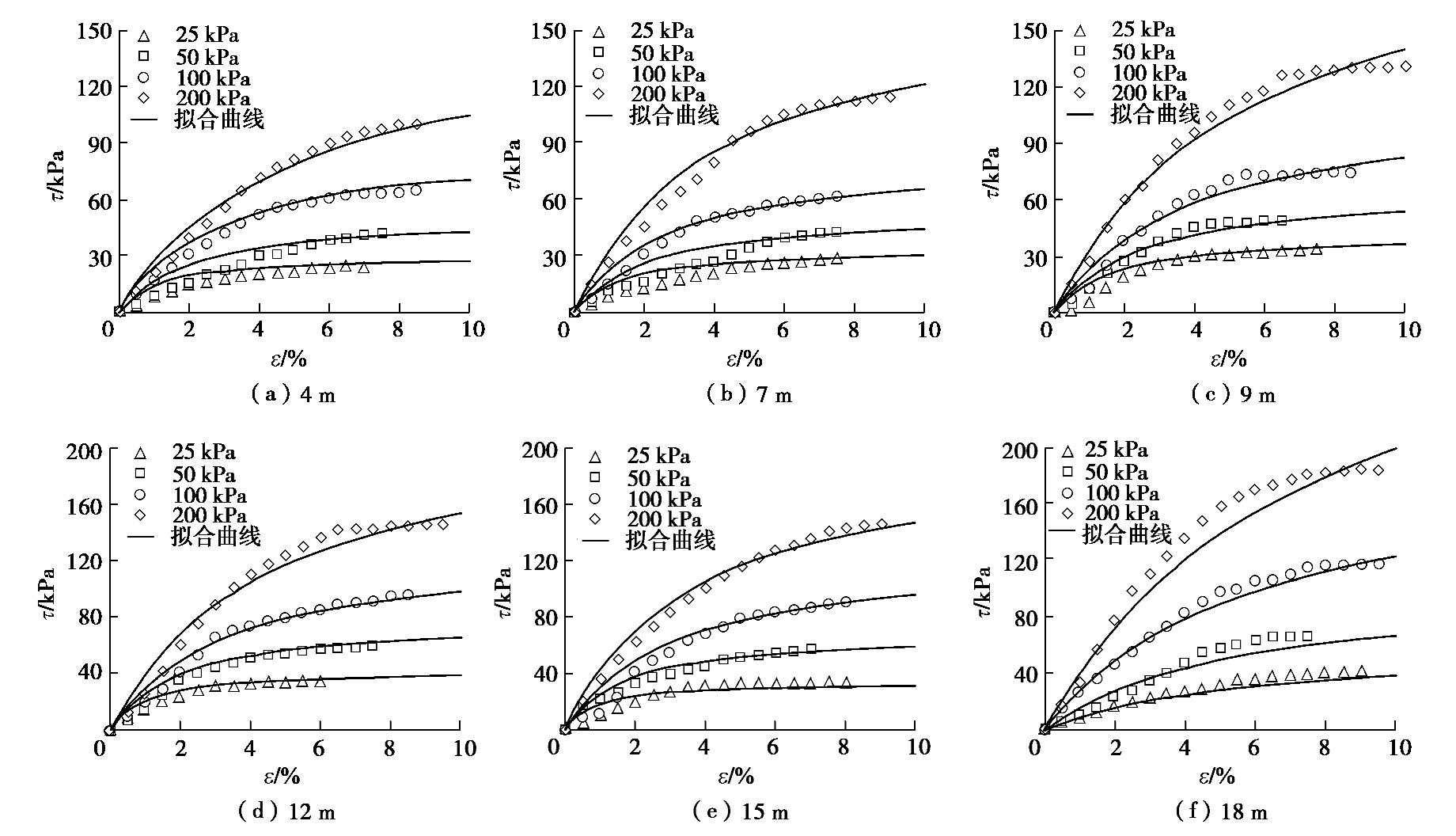
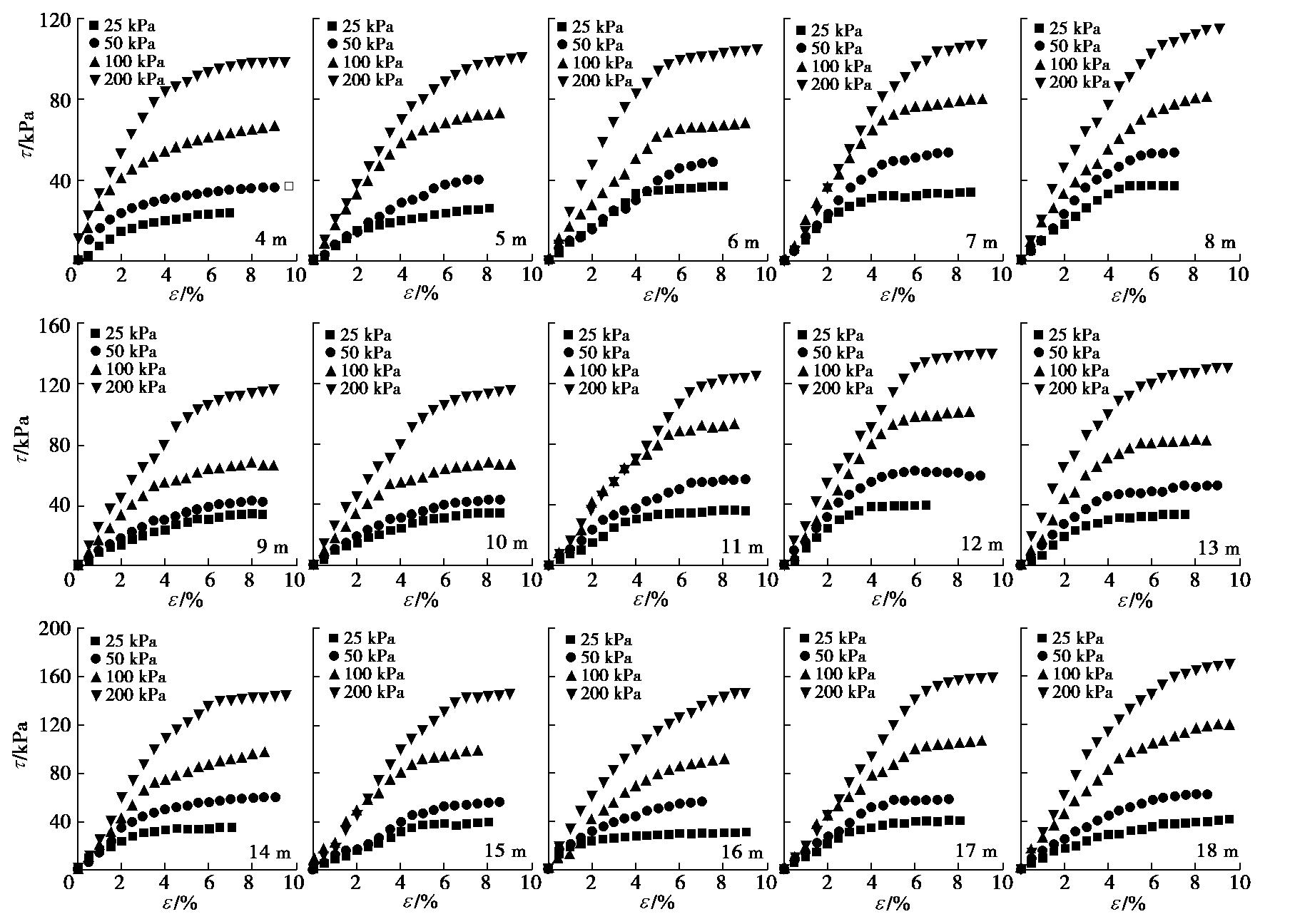
    • 摘要: 花岗岩残积土广泛分布在中国东南沿海地区,是近地表花岗岩的风化产物。为了研究花岗岩残积土原位力学行为及其受风化程度的影响,开展不同深度土层的原位孔内剪切试验,获得了不同法向应力下的应力–应变关系曲线和广义邓肯–张模型参数。以砾粒含量表征残积土的风化程度,基于考虑砾粒含量影响的广义邓肯–张模型预测了土体的力学行为,并与实测数据进行对比。结果表明,花岗岩残积土的颗粒级配与土层深度有明显的关联性,用砾粒含量可以表征其风化程度;由孔内剪切试验得到应力–应变曲线呈应变硬化型特征;根据孔内剪切试验的应力–应变关系可以有效地反演广义邓肯–张双曲线模型参数,包括黏聚力c、内摩擦角φ、应力破坏比Rf以及拟合参数Kn;经回归分析发现5种参数均可由砾粒含量的相应函数关系进行拟合求解;由模型计算得到的应力–应变曲线与实测结果吻合度较高,说明采用广义邓肯–张模型描述花岗岩残积土的原位力学行为具有合理性,分析结果拓展了邓肯–张本构模型的适用范围。

       

      Abstract: Granite residual soil, as the weathering product of near-surface granite, is widely distributed in the southeast coastal areas of China. In order to study the influences of weathering degree on the in-situ mechanical properties of granite residual soil, the borehole shear tests are carried out for the residual soil along the depth of foundation pit. The in-situ stress-strian curves under different normal stresses and parameters of the Duncan-Chang model are obtained. Then, the regression relationships between the five model parameters and the weathering degree index represented by the gravel content are determined. According to the Duncan-Chang model, the stress-strain curves of residual soil with different weathering degrees are predicted and compared with the measured data. The results show that the grain compositions of residual soil are significantly correlated with the depth of soil layers. The stress-strain curves obtained by the borehole shear tests show the characteristics of strain-hardening deformation. According to φ the stress-strain relationship of in-situ tests, the parameters of the generalized Duncan-Chang model, including cohesion c, internal friction angle, stress failure ratio Rf and fitting parameters K and n, can be deduced effectively. Through regression analysis, the parameters can be fitted by the corresponding functions for the gravel content. The stress-strain curves calculated by the modified model are in good agreement with the experimental results, which shows that the generalized Duncan-Chang model can reasonably describe the in-situ mechanical behavior of granite residual soil. This study extends the applicability of the Duncan-Chang constitutive model.

       

    /

    返回文章
    返回