胶–砂粒径比对橡胶砂小应变动力特性的影响

    Effect of particle size ratio of rubber to sand on small strain dynamic characteristics of rubber-sand mixtures

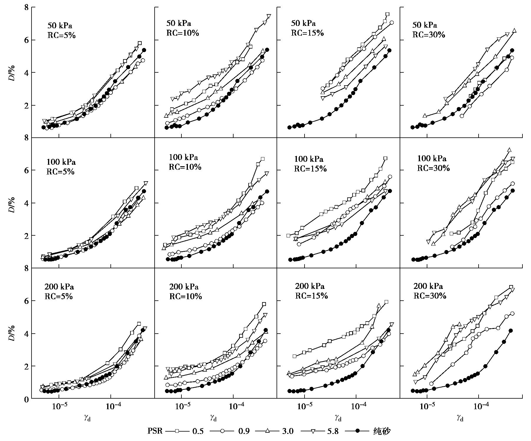
    • 摘要: 利用GDS-RCA共振柱系统,开展不同橡胶含量、粒径比和围压条件下橡胶砂(RSM)的动力特性试验,深入探究3种影响因素对橡胶砂动力特性的耦合影响规律和机理。首先,通过试验得到了4种橡胶含量和4种粒径比的橡胶砂在3种围压下的动剪模量和阻尼比曲线,然后探讨了粒径比对橡胶砂动剪模量曲线、最大动剪模量、参考剪应变和阻尼比曲线的影响规律,并分析了其与橡胶含量、围压等因素对橡胶砂动力特性的耦合影响规律及机理,最后通过与已有文献的对比,进一步验证了现象和结论。分析结果表明:粒径比对橡胶砂动力特性的影响较为显著,其改变时最大动剪模量的变化甚至达到3~4倍,并且粒径比与橡胶含量对橡胶砂的动力特性存在耦合影响效应,在低橡胶含量下粒径比的影响与高橡胶含量下明显不同,但围压与粒径比对橡胶砂的动力特性的影响无明显耦合效应。当将橡胶颗粒体积视为孔隙的一部分时,常规土最大动剪模量的Hardin经验公式可适用于橡胶砂。

       

      Abstract: By using the GDS-RCA resonant column system, the dynamic characteristics of rubber-sand mixtures (RSMs) under different rubber contents, particle size ratios and confining pressures are tested, and the coupling effect law and mechanism of three factors on the dynamic characteristics of RSM are explored. First of all, the dynamic shear modulus and damping ratio curves of RSMs with four types of rubber contents and particle size ratios under three confining pressures are obtained through experiments. Then, the influences of particle size ratio on the dynamic shear modulus, the maximum dynamic shear modulus, the reference shear strain and the damping ratio curve of RSMs are discussed, and the coupling effects of particle size ratio, rubber content and confining pressure on the dynamic characteristics of RSMs are also analyzed. Finally, the phenomenon and conclusion are further verified by comparing with the existing literatures. The results show that the particle size ratio has a significant effect on the dynamic characteristics of RSMs, and the maximum dynamic shear modulus changes even 3 to 4 times when it changes. There is a coupling effect between the particle size ratio and the rubber content on the dynamic characteristics of RSMs. The effects of the particle size ratio under low rubber content are significantly different from those under high rubber content, but the influences of confining pressure and particle size ratio on the dynamic characteristics of RSMs have no obvious coupling effect. The maximum shear modulus of RSMs can be estimated by treating the volume of rubber as voids with the empirical equations proposed by Hardin et al.

       

    /

    返回文章
    返回