非线性渗流对裂隙岩体渗流传热过程的影响

    Effect of nonlinear seepage on flow and heat transfer process of fractured rocks

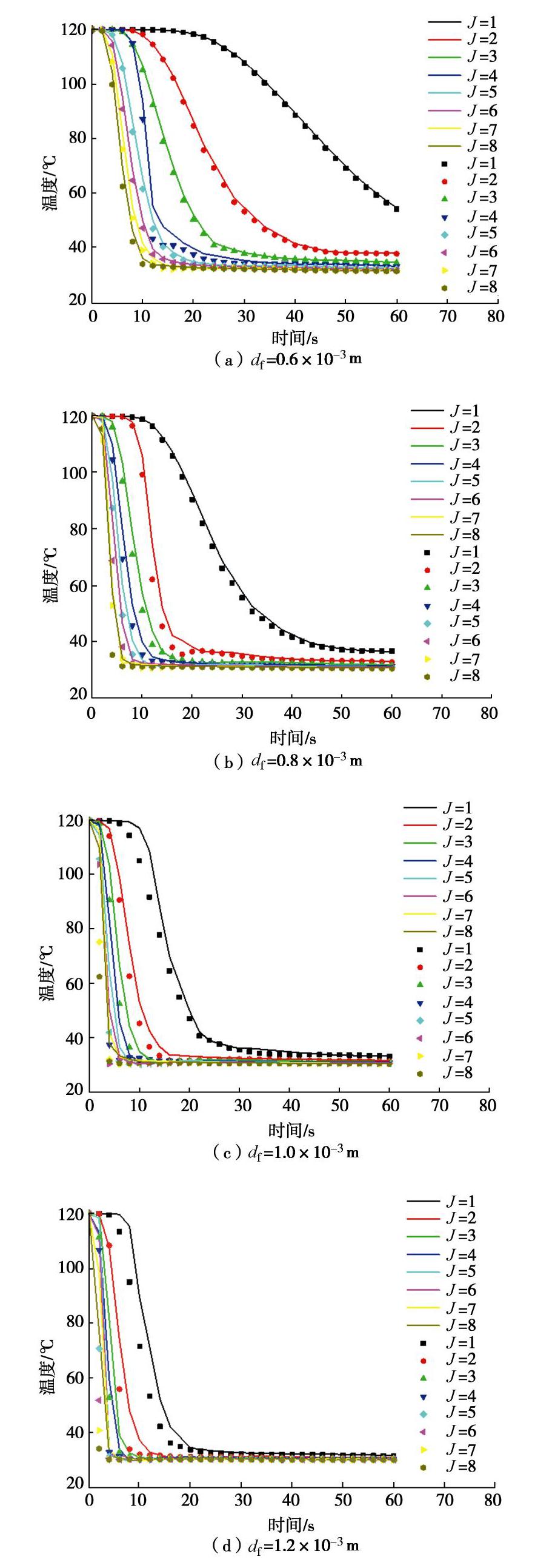
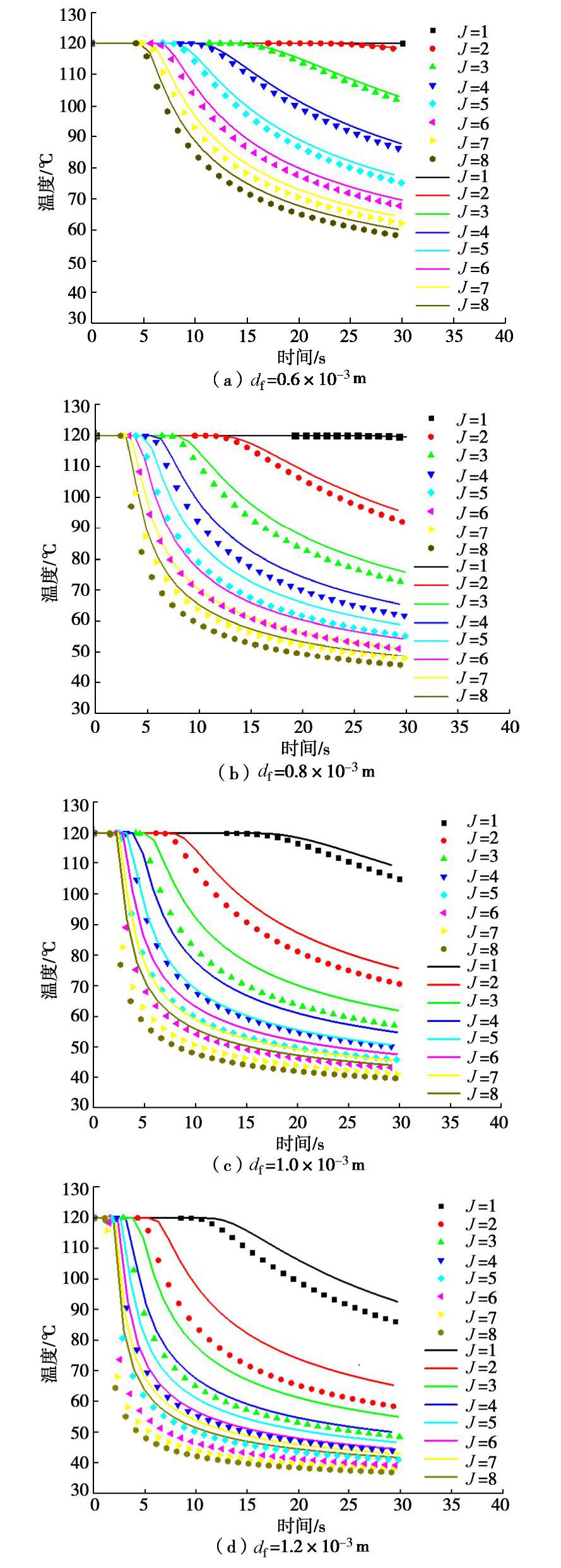
    • 摘要: 提出了一种裂隙岩体的非线性渗流传热数值模型,首先将Forchheimer方程与雷诺方程耦合得到非线性渗流控制方程,然后结合传热控制方程,考虑裂隙与岩石基质之间的热量交换,研究了非线性渗流对裂隙岩体渗流传热过程的影响。通过与裂隙网络非线性渗流试验数据对比,验证了裂隙岩体非线性渗流模型的有效性。最后,通过二维单裂隙和三维裂隙网络模型进行了非线性渗流传热分析。结果表明:该模型能够比较准确地描述裂隙岩体的非线性渗流特征,随着裂隙开度df的增加,流体的非线性效应不断加强,与达西条件下计算的渗流传热结果的偏差就越大,通过归一化导流系数T/T0确定临界水力梯度Jc,发现裂隙开度对临界水力梯度Jc起到主导性作用,且临界水力梯度Jc与裂隙开度df满足幂函数递减关系;归一化热突破时间t/t0≥1,非线性条件下的稳定期要比线性条件下的稳定期长,并随着裂隙开度和裂隙数量的增大而增大。

       

      Abstract: A numerical model for nonlinear flow and heat transfer in a fractured rock mass is proposed. First, the Forchheimer equation and the Reynolds equation are coupled to obtain the nonlinear seepage control equation, then combined with the heat transfer control equation, considering the heat exchange between the fracture and the rock matrix, the effect of nonlinear seepage on the flow and heat transfer process of fractured rock mass is studied. The effectiveness of the nonlinear seepage model for fractured rock mass is verified by comparing the experimental data of nonlinear seepage in fracture network. Finally, the nonlinear seepage heat transfer analysis is carried out by two-dimensional single-fracture and three-dimensional fracture network models.The result shows that the model can accurately describe the nonlinear seepage characteristics of fractured rock masses. As the fracture aperture df increases, the nonlinear effects of fluids continue to strengthen, and the deviation between the nonlinear conditions and the seepage heat transfer results under linear conditions is greater. The critical hydraulic gradient Jcis determined by the normalized hydraulic conductivity coefficient T/T0. It is found that the fracture aperture plays a dominant role in the critical hydraulic gradient Jc, and the critical hydraulic gradient Jc and the fracture aperture df satisfy the power function decreasing relationship. The normalized thermal breakthrough time t/t0≥1, and the stability period under nonlinear conditions is longer than the stable period under linear conditions and increases with the increase of the fracture aperture and the number of fractures.

       

    /

    返回文章
    返回