岩石高边坡爆破开挖损伤区岩体力学参数弱化规律研究

    Weakening laws of rock mass properties in blasting excavation damage zone of high rock slopes

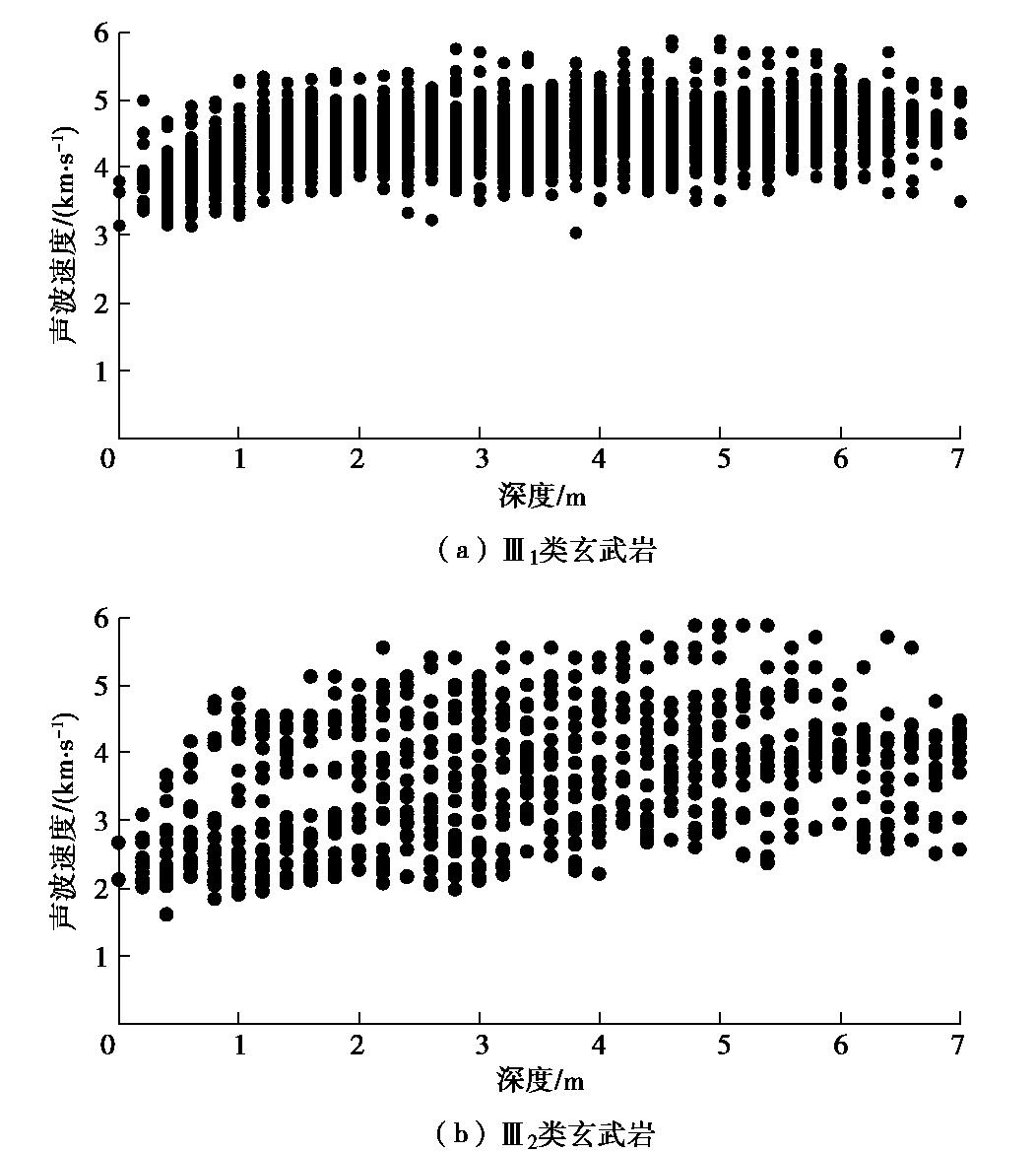
    • 摘要: 岩石边坡爆破开挖引起的岩体力学性能劣化对边坡稳定具有不利的影响,Hoek-Brown(H-B)准则是快速估算损伤岩体力学参数的有效途径之一。针对白鹤滩水电站左岸834~750 m高程拱肩槽边坡爆破开挖,通过分析爆破后边坡岩体的声波速度,定量确定了H-B准则中扰动因子D的取值及其随深度的变化规律,在此基础上研究了损伤区内岩体力学参数的弱化规律。研究结果表明:随着岩体深度的增加,扰动因子D线性降低,损伤区内岩体变形模量线性增大,岩体单轴抗压强度、单轴抗拉强度、内摩擦角和黏聚力非线性增大;爆破开挖扰动下岩体单轴抗压强度弱化最为严重,内摩擦角弱化程度最小。研究成果可为边坡稳定性分析与支护设计的岩体力学参数取值提供参考。

       

      Abstract: The weakening of rock mass properties caused by blasting excavation has an adverse effect on slope stability. The Hoek-Brown (H-B) criterion is one of the effective approaches to quickly estimate the mechanical properties of the damaged rock mass. For blasting excavation of the left-bank arch spandrel groove slope of Baihetan Hydropower Station at an elevation of 834~750 m, the disturbance factor in the H-B criterion and its variation with the increasing depth are quantified by analyzing the acoustic wave velocities of the damaged rock mass after blasting. Based on this, the weakening laws of the rock mass properties in the damaged zone are studied. The results show that the disturbance factor decreases linearly as the depth into the slope face increases. In this case, the deformation modulus of rock mass increases linearly with an increase in depth. However, the increases are nonlinear in the uniaxial compressive strength, uniaxial tensile strength, internal friction angle and cohesion. Under blasting excavation disturbance, the uniaxial compressive strength is the most seriously weakened, while the internal friction angle is the lightest weakened. The research results can provide reference for the selection of appropriate rock mass parameters with regard to slope stability analysis and support design.

       

    /

    返回文章
    返回